替代炭黑做為鋰電池導電劑,提高能量密度和循環壽命,有單壁碳納米管漿料、多壁碳納米管漿料、石墨烯漿料三大類:
單壁碳納米管水系漿料
|
規格 |
單位 |
極限數值 |
數值 |
檢測方法 |
|
穩定性 |
Units |
≥0.85 |
0.96 |
光譜 |
|
粘度 |
mPa.s |
≤1200 |
474 |
布氏粘度計 |
|
pH |
Units |
8.3~11.0 |
9.9 |
pH-meter |
|
光學吸收500nm |
Units |
≥0.45 |
0.55 |
光譜 |
|
固含量 |
% |
2.7~3.3 |
2.99 |
重量分析法 |
|
碳管含量 |
% |
≥0.45 |
0.5 |
|
多壁碳納米管水系漿料JCMT-95-11-10-W、多壁碳納米管油系漿料JCMT-95-11-10-NMP
|
PROPERTIES |
UNITS |
VALUES |
|
多壁碳納米管含量 |
wt% |
1~5 |
|
平均直徑 |
nm |
11 |
|
長度 |
µm |
10 |
|
比表面積 |
m2/g |
250 |
|
干膜電阻 |
ohm-cm |
0.01 |
|
NMP或者水 |
wt% |
93~98 |
|
分散劑 |
wt% |
<1.25% |
石墨烯水系漿料JCG-98-6-50-W、石墨烯油系漿料JCG-98-6-50-NMP
|
Data |
Unite |
The numerical |
|
Thickness |
nm |
5~8 |
|
Diameter |
μm*μm |
50*50 |
|
Purity |
% |
<5 |
|
Electrical conductivity |
S/m |
100000 |
|
NMP或者水 |
% |
93-98 |
|
石墨烯含量 |
% |
1~5 |
|
Metal impurity content |
ppm |
100 |
|
Surface Area |
m2/g |
>500 |
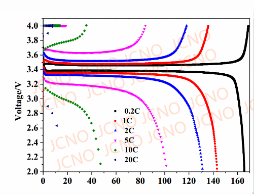
JCNO提供石墨烯漿料鋰電池電化學性能
.png)
炭黑鋰電池電化學性能
單壁碳納米管水系漿料、單壁碳納米管油系漿料
|
Data |
Unite |
Value |
|
CNT |
wt.% |
0.10 |
|
Outer Diameter |
nm |
1~2 |
|
Length |
μm |
20 |
|
PVDF |
wt.% |
0.10 |
|
NMP或者水 |
% |
99.67 |
價格:1000元/公斤
jc@jcno.net