納米多孔石墨烯 (NPG) 是橫向鍵合的碳納米帶,是控制納米尺度相干電子傳播的有前途的平臺。然而,為了實現成功的器件集成,NPG 最好位于保持或增強其各向異性傳輸特性的襯底上。在這里,使用原子緊束縛模型與非平衡格林函數相結合,我們研究了石墨烯上的 NPG,并表明它們的電子耦合被調制為層間扭曲角的函數。在小扭曲角 (θ ? 10°) 下,強雜化導致大量的層間傳輸和兩層電流中的類似 Talbot 的干擾。此外,由于扭曲誘導的鏡像對稱性破壞,注入的電流表現出手性特征。在增加扭轉角時,耦合減弱,單層電子特性恢復。此外,我們預測了光譜特征,允許通過掃描隧道顯微鏡探測扭曲依賴的層間耦合。

圖1. 系統設置和綁定傳輸。(a) NPG(紅色)、石墨烯(藍色)和扭曲的 NPG/石墨烯雙層的原子結構。黑叉和黑點分別表示旋轉軸和注射部位。(b) 能量 E = −0.4 eV 的扭曲 NPG/石墨烯雙層中的實空間鍵傳輸圖。頂行:NPG 層。底行:石墨烯層。紅點表示 NPG 層中的進樣點。比例尺為 10 nm。

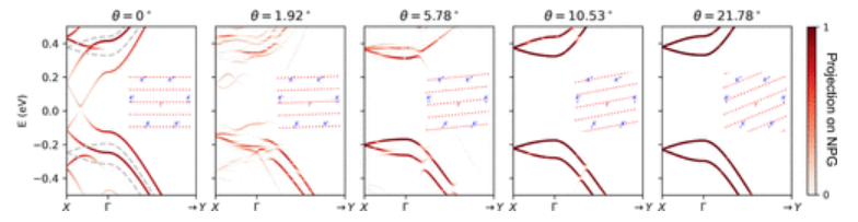
圖2. NPG/石墨烯在不同 θ 處的帶結構,投影在 NPG 上并展開到其布里淵區。展開的條帶在沿 (X → Γ) 和沿 (Γ → Y) NPG 帶軸的方向上表示。單層 NPG 的能帶結構在對應于 θ = 0°(灰色虛線)的面板中繪制為參考。插圖顯示了石墨烯的 K/K′ 點(藍色)和 NPG 的延伸 Γ 點在折疊前在廣義動量空間中旋轉了相應的角度(紅色)。

圖3. 不同 θ 下 NPG/石墨烯的能量分辨和平均 IPR。Aν 的平均值分別在負能量 Eν ∈ [−0.5, 0] eV(黑色實心條)和正能量 Eν ∈ [0, 0.5] eV(黑色空條)的狀態上取用。能量分辨 IPR A(E) 在 E = −0.4 eV(紅色實心方塊)和 E = 0.4 eV(紅色空方塊)處進行評估。

圖4. (a) NPG/石墨烯在不同 θ 處投影在 NPG 上的態密度。單層 NPG 的 DOS 在所有情況下都顯示為參考(灰色陰影曲線)。(p)DOS 按原子表示。(b) 在 (a) 中紅色 (E = −78 meV) 和藍色箭頭 (E = −400 meV) 表示的能量下評估的 θ = 1.92° 的 NPG 局部 DOS。頂部面板中的比例尺為 1 nm,NPG 幾何圖形疊加在兩個面板的右下角。
相關研究成果由多諾斯蒂亞國際物理中心
Xabier Diaz de Cerio和Xabier Diaz de Cerio課題組2025年發表在
Nano Letters (鏈接:https://doi.org/10.1021/acs.nanolett.4c04262)上。原文:
Twisting nanoporous graphene on graphene: electronic decoupling and chiral currents
轉自《石墨烯研究》公眾號