在一個簡單的電子設備中產生、放大、混合和調制聲音的能力將打開聲學的新世界。在這里,我們展示了如何構建這樣的設備。它通過石墨烯中的焦耳熱產生熱聲聲音。通過控制流經石墨烯的電流的成分和流動,可以產生豐富的聲音調色板。這包括混頻(外差),其完全由焦耳機制產生。它還包括通過直流電流對聲譜進行整形并使用晶體管門調制其幅度。我們證明,特定的聲音是非線性的指標,可用于量化對傳導的非線性貢獻。從我們的工作中,我們期望看到聲學在計量、傳感和信號處理中的新用途。加上石墨烯的光學特性,其聲學能力應該會激發第一個組合視聽納米技術的開發。

圖 1.熱聲產生。 (a) 由不同頻率和幅度的兩個電流源(左)產生的聲譜(右)。這在底部插圖中示意性地顯示。指示聲音分量的頻率和相對幅度。 (每個頻率的功率通過將相對幅度乘以 R/2 得出)。外差(青色)僅在兩個源都存在時才存在。頂部插圖顯示了晶體管,其中包括電極(金色)、6 毫米方形單層石墨烯(灰色)、基板(藍色)以及電極和柵極的電連接(黑色)。 (b) 背柵石墨烯場效應晶體管中對交流偏置電壓 V(黑色)的聲學響應(藍色)。頻率為 fA,B 的單個源會引起二次諧波 2fA,B 的響應。 (c) 兩個頻率源一起應用不僅會產生二次諧波響應,還會產生 fA+B = 19 kHz 處的總外差頻率。

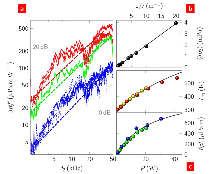
圖 2. 二次諧波的產生。 (a) 一系列設備的聲壓譜(在 r = 50 mm 處測量)。底部藍色組是四個背柵 FET 的光譜。頂部紅色組是沉積電解質之前四個頂部柵極器件的光譜。中間綠色組是電解質沉積后兩個頂柵 FET 的光譜。不同的線路類型指定組內的設備數據。在所有情況下,Vg = 0。方程 (1) 的預期相關性顯示為與數據顏色相同的虛線。
指示性聲壓級 20log(δprf/δpref),其中 δpref = 20 μ Pa m kHz−1,顯示為水平虛線。 (b) 源功率為 3.4 W 的背柵 FET 的聲壓與逆器件麥克風分離的函數關系。聲壓在 20-50 kHz 頻率范圍內進行平均。 (c)(上)在兩個背柵 FET(通過顏色區分)中測量并計算(線)器件溫度作為源功率的函數。 (下)相同設備在 f2 = 40 kHz 時的聲壓(在 r = 50 mm 處測量)。實線是等式(1) 的預期相關性。

圖 3. 一次諧波產生的偏置控制。 (a) 在源頻率的第一(藍色)和第二(綠色)諧波處測量的聲壓,作為背柵 FET 上直流偏置的函數。聲壓值在頻率范圍 fi = 38–42 kHz, i = 1, 2 上取平均值。實線是一次諧波數據的線性擬合;虛線為 <δp> = 8μPa。所有測量的 P2 均固定為 0.1 W。 (b) f = 12 kHz 時作為交流和直流偏置函數的一次諧波。二次諧波聲音隨 Vac 呈二次方增加:黃色符號表示實驗上 δp1 = δp2。 (c) 第一諧波(f1 = 12 kHz 時的黑色;f1 = 15 kHz 時的紅色)和第二諧波(綠色)的相位作為直流偏置的函數。 (d) 通過降低直流偏壓創建的平坦一次諧波聲譜(實線)示例為 Vdc = Vref(fref/f),其中在 fref = 1 kHz 時 Vref = 10 V。交流偏置固定為 10 V。所施加的直流偏置以與聲譜相對應的顏色的虛線顯示(以伏特為單位),已將其歸一化為 Vref 以進行比較。

圖 4. 外差。 (a) 聲學差外差 |fA−fB| = 16 kHz,作為源 A 的交流偏置幅度的函數。源 B 的固定幅度等于 A 的最大值。不同的顏色對應于不同的源 A 頻率:fA = 1 kHz(黑色)、10 kHz(紅色) )和 100 kHz(藍色)。綠色虛線曲線顯示 fA = 8 kHz。 (b) 零差聲音生成作為 A 和 B 之間相移 θ 的函數:fA,B = 5 kHz(黑色)和 10 kHz(藍色)。 A 和 B 之間的相移如下圖所示。

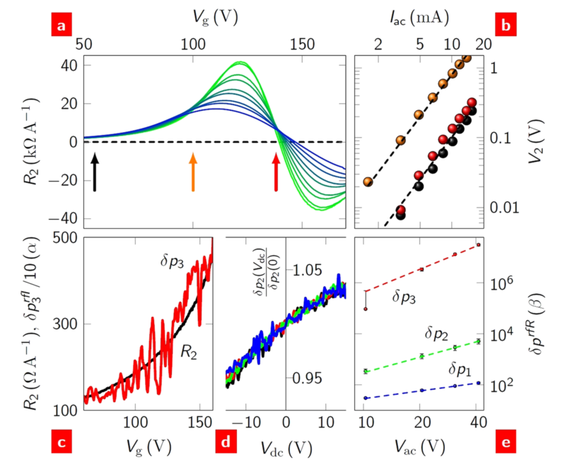
圖 5. 使用場效應晶體管的聲門。 (a,b) 背柵 FET。電導 (a) 以及第一(綠色實心)和第二(藍色實心)諧波 (b) 作為背柵電壓的函數。功率歸一化聲壓顯示為虛線:δprfP 的單位為 μ Pa m kHz−1W−1。 (c,d) 頂柵 FET。對于 0.05 W(黑/綠)至 0.5 W(紅/藍)的不同電源功率,在 f1 = 18 kHz 下測得的電導 (c) 和二次諧波 (d) 與頂柵電壓的函數關系。正文中描述的聲音的“開”/“關”狀態分別由藍色/紅色陰影區域表示。

圖 6. 三次諧波產生。(a)浸沒在液氦中的背柵場效應晶體管 (FET) 的柵極電壓與二次微分電阻的關系(T = 4.2 K)。曲線顏色范圍從 P = 0.007 W 時的綠色到 P = 0.7 W 時的藍色(不等步長)。(b)f2 時器件兩端的電壓降與交流偏置的關系。數據(符號)取自 a 中相同顏色箭頭指示的柵極電壓;虛線表示預期的 Iac 2 依賴性。(c)P = 0.7 W 環境條件下的 R2(Vg),以及同時測量的電流歸一化三次諧波聲壓 p I = p /(I /2) 3 3 ac 3(在 f3 = 42 kHz 和 r = 25 mm 時測量)。μPamkHz−1A−3。 (d) δp2 與直流偏置的關系,歸一化為 Vdc = 0 時的值。四種交流偏置下的曲線:10 V(黑色)、20 V(紅色)、30 V(綠色)和 40 V(藍色)。(e) 第一、第二和第三諧波聲壓與交流偏置的關系。每個基準點都是頻率范圍 10 < f < 14 kHz 和直流偏置 −34 < Vdc < +34 V 的平均值。虛線是預測的 I n 交流依賴性:n = 1(藍色)、n = 2(綠色)和 n = 3(紅色)。 μPamkHz−1 −1A2−n。
相關科研成果由埃克塞特大學D. W. Horsell等人于2024年發表在Scientific Reports(https://doi.org/10.1038/s41598-017-01467-z)上。原文:Multi-frequency sound production and mixing in graphene
原文鏈接:https://doi.org/10.1038/s41598-017-01467-z
轉自《石墨烯研究》公眾號