MXene作為一種新型氣體分離膜,具有良好的穩定性和合適的孔拓撲結構,可以緩解二氧化碳過量排放造成的溫室效應。然而,CO2的大四極桿和極化性使其與MXene具有很強的相互作用,從而導致CO2的溶解性強而擴散性弱。在這里,我們通過密度泛函理論和分子動力學模擬設計了具有暴露的C原子的納米多孔Ti3C2O2單層(YmXn),可以調節CO2-Ti3C2O2相互作用,從而提高氣體分離性能。 “截止”尺寸的范圍是通過分析氣體從未滲透到滲透的分離狀態而得到的。結果表明,納米多孔 Ti3C2O2 膜具有出色的 CO2 選擇性和滲透性。性能最佳的Y3X3-Ti對于等摩爾氣體混合物和煙氣的CO2滲透率分別為1.01 × 10-4和2.56 × 10-5 mol s−1 m−2 Pa−1,CO2/N2選擇性均達到100%。納米多孔 Ti3C2O2 中的氣體分離機制主要由擴散選擇性而非溶液選擇性決定。精確研究了氣體滲透的動態過程,包括氣體的質心、均方位移和徑向分布函數。膜通道中的C原子與CO2之間的靜電斥力遵循Y3X3-C>Y2X4>Y3X3-Ti的順序,這是調節氣體擴散的關鍵。這項工作的結果強調,調整氣體-膜相互作用和設計“截止”尺寸是實現優異二氧化碳分離性能的有效策略,并為高性能氣體分離膜的內在機制提供了新的線索。

圖1. (a) Y2X4 和 (b) Y3X3-Ti 的俯視圖和側視圖。粉紅色(鈦);綠色(C);紅色 (O)。

圖2. 納米多孔Ti3C2O2 孔長擬合曲線。區域 1 和 2 代表 Ti3C2O2 的“截止”尺寸分布。

圖3. Y2X4和Y3X3-Ti中CO2分子滲透數隨時間的擬合曲線。 (a、b) 等摩爾氣體混合物; (c、d) 煙道氣。

圖4. 最終狀態的相對濃度分布。 (a,b) Y2X4和Y3X3-Ti的等摩爾氣體混合物; (c, d) Y2X4 和 Y3X3-Ti 的煙氣。水平坐標表示模擬框的 z 軸。

圖5. 滲透過程中 CO2 和 N2 的質心和均方位移。 (a、b) 等摩爾氣體混合物; (c、d) 煙道氣。

圖6. 納米多孔 Ti3C2O2 與等摩爾氣體混合物中氣體的二維密度圖。 (a、b)Y2X4; (c,d)Y3X3-Ti。

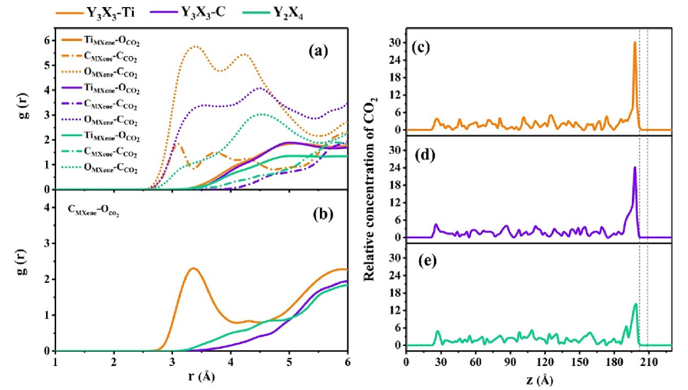
圖7. 納米多孔Ti3C2O2和CO2的相對濃度和徑向分布函數。
相關科研成果由中國石油大學Xiaoqing Lu等人于2024年發表在Chemical Engineering Journal (https://doi.org/10.1016/j.cej.2024.151158)上。原文:Nanoporous Ti3C2O2 monolayer towards high permeance and selectivity for CO2/N2 separation: CO2-MXene interaction tuning
原文鏈接:https://doi.org/10.1016/j.cej.2024.151158
轉自《石墨烯研究》公眾號