石墨烯被認為是一種可以提高鋁強度和導電性的有效填料,但鋁與石墨烯在高溫下的反應是不可避免的。在本研究中,通過調節燒結溫度,在鋁和石墨烯之間生成了不同的界面產物,并研究了它們對石墨烯/鋁復合材料力學和電學特性的影響。石墨烯上的銅包覆被用于隔離石墨烯與鋁的直接接觸以及導電。銅包覆石墨烯增強鋁基復合材料的合成涉及幾個步驟,包括電化學剝離、化學沉積、機械球磨和高壓燒結。結果表明,銅納米顆粒與鋁之間形成的固溶體促進了與石墨烯之間的強界面結合,導致復合材料的電導率與原始鋁基體相比提高了22.76 %。此外,通過減少碳化鋁的形成,石墨烯的加入使復合材料的抗拉強度達到404 MPa,比鋁基體顯著提高了88.8 %。

圖1. (a)原石墨箔的FE-SEM圖像;(b)剝離石墨烯的TEM圖像;(c)鍍銅石墨烯的FE - SEM圖像;(d)原鋁粉的FE-SEM圖像; (e)復合粉的掃描電鏡圖像;(f) 原石墨箔、剝離石墨烯、銅涂層石墨烯和復合粉末的拉曼光譜。

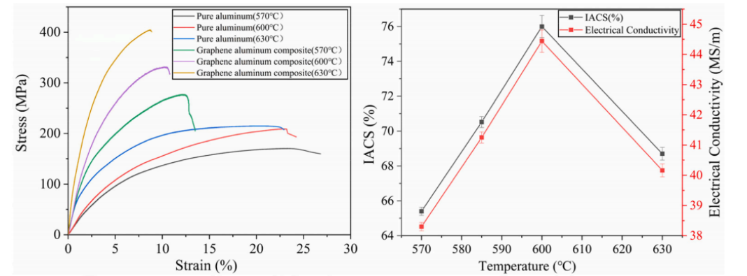
圖2. 不同燒結溫度下銅涂層石墨烯增強鋁復合材料的應變-應力曲線(a)和電導率(b)。

圖3. 不同燒結溫度下的純鋁和復合材料的斷裂形貌:( a )純鋁;( b )570?C下燒結的復合材料;( c )600?C下燒結的復合材料;( d )630?C下燒結的復合材料。

圖4. 不同溫度燒結下復合材料的XRD光譜(a)和Raman (b)光譜。

圖5. 在570?C溫度下燒結的復合材料(a)TEM圖像和(b) HAADF-STEM圖像;(c)圖(b)中標記方框區域的HR TEM圖像;(d-f)圖a區域的EDS映射圖像。

圖6. 在600?C溫度下燒結的復合材料(a)TEM圖像和(b) HAADF-STEM圖像;(c)圖b中紅色箭頭區域的HRTEM圖像;(d,e,f)圖a區域的EDS映射分析。

圖7. 630℃溫度下燒結的復合材料的TEM圖像。

圖8. 石墨烯和銅涂層石墨烯的紫外光電子能譜表征。

圖9. 基于第一性原理計算的Al ( 111 ) /雙層石墨烯/ Al ( 111 )和Cu ( 111 ) /雙層石墨烯/ Cu ( 111 )兩種模型體系中相鄰原子對雙層石墨烯(含有兩個碳原子)中原胞的電子摻雜濃度模型。雙層石墨烯以AB堆積構型排列,其中白色和灰色球分別代表Al ( 111 ) /石墨烯雙層/ Al ( 111 )模型體系中的鋁( Al )和碳( C )原子。黃色和灰色球分別代表Cu ( 111 ) /石墨烯雙層/ Cu ( 111 )模型體系中的銅( Cu )和碳( C )原子。
相關研究成果由西南交通大學電氣工程學院Youming Luo等人于2024年發表在Surfaces and Interfaces (https://doi.org/10.1016/j.surfin.2024.104164 )上。原文:The influence of interface products on the mechanical and electrical properties of graphene aluminum composites
轉自《石墨烯研究》公眾號