這項工作提出了溶液處理的高性能石墨烯量子點(GQDs)裝飾非晶InGaZnO (α-IGZO)薄膜晶體管(TFTs),該晶體管基于ZrO
x作為柵極電介質。與純IGZO TFTs相比,摻雜量優化后的GQDs改性α-IGZO TFTs器件表現出更好的性能,場效應遷移率(μ
FE)為35.91 cm
2 V
-1 s
-1,開/關電流比(I
ON/I
OFF)為5.04 × 10
8,亞閾值擺幅(SS)為0.11 V dec
-1,界面阱態(Dit)為1.57 × 10
12 cm
-2。此外,摻雜濃度為0.5 mg ml
-1的GQDs摻雜IGZO TFTs在偏置應力和光照應力條件下均表現出優異的穩定性。為了證明α-IGZO TFTs在邏輯電路中的潛在應用,集成了基于GQDs-IGZO/ZrO
x的電阻負載單極逆變器,具有良好的動態性能和9.3的高增益. GQDs-IGZO/ZrO
x TFTs的低頻噪聲(LFN)特性表明,遷移率的波動是噪聲源。基于所有實驗結果,可以得出結論,溶液處理的GQDs-IGZO/ZrO
x TFT在光電子學方面具有廣闊的應用前景。

圖1. (a)脫摻雜和(b) GQDs摻雜通道層的IGZO TFTs示意圖。

圖2. (a) GQDs-IGZO-0 薄膜、(b) GQDs-IGZO-1 薄膜、(c) GQDs-IGZO-2 薄膜和 (d) GQDs-IGZO-3 薄膜的 AFM 圖像。

圖3. (a)透射率,(b)帶隙測定,(c)熱行為,(d)不同GQDs濃度下IGZO薄膜的XRD譜圖。

圖4. (a) C1 s和(c) O 1s的XPS光譜。不同摻雜濃度GQDs-IGZO薄膜碳相關(b)和氧相關(d)組分變化的半定量分析。

圖5. (a) GQDs-IGZO-0 TFT、(b) GQDs-IGZO-1 TFT、(c) GQDs-IGZO-2 TFT、(d) GQDs-IGZO-3 TFT輸出曲線。(e) GQDs-IGZO TFTs的傳輸特性。(f)不同GQDs摻雜濃度下GQDs-IGZO TFTs的電參數。

圖6. (a) GQDs-IGZO-0 TFT和(b) GQDs-IGZO-2 TFT在PBS測試下,(c) GQDs-IGZO-0 TFT和(d) GQDs-IGZO-2 TFT在NBS測試下的轉移曲線變化。(e) PBS和(f) NBS測試下GQDs-IGZO TFT的偏置不穩定性機制。

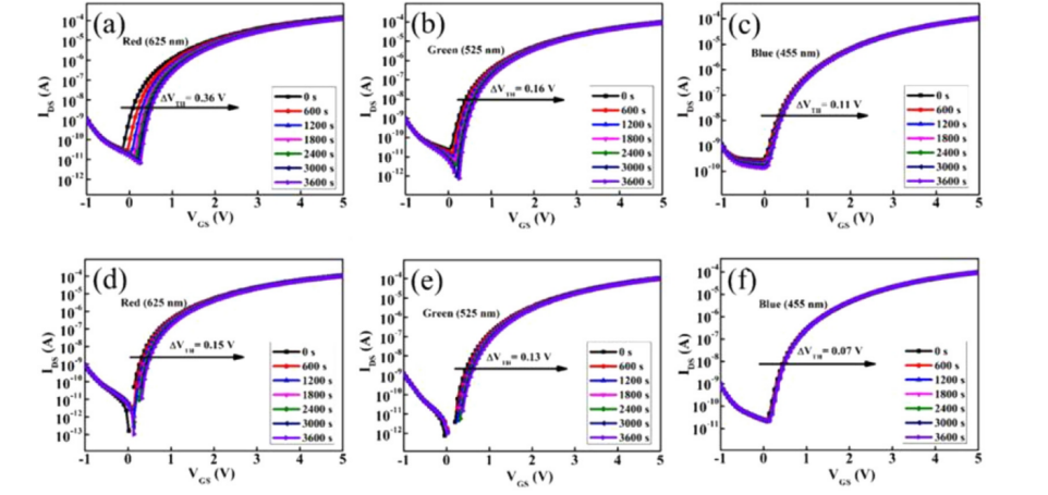
圖7. (a-c) GQDs-IGZO-0 TFT和(d-f) GQDs-IGZO-2 TFT在紅、綠、藍三種光照射下PBIS測試下的傳遞曲線。

圖8. (a-c) GQDs-IGZO-0 TFT和(d-f) GQDs-IGZO-2 TFT在紅、綠、藍三種光照射下NBIS測試的傳遞曲線。

圖9. 在(a)黑暗、(b)紅光、(c)綠光和(d)藍光照射下,GQDs-IGZO TFT的V
TH移位與應力時間的函數關系。

圖10. (a) GQDs-IGZO TFT中Vo相關阱態的光致電離示意圖。(b) PBIS和(c) NBIS在光照下柵電介質中固定電子的積累。

圖11. (a)基于GQDs-IGZO-2 TFT的電阻負載逆變器。(b) GQDs-IGZO-2 TFT的VTC曲線。(c)不同外加電壓下逆變器GQDs-IGZO-2 TFT的電壓增益。(d)動力響應行為曲線。

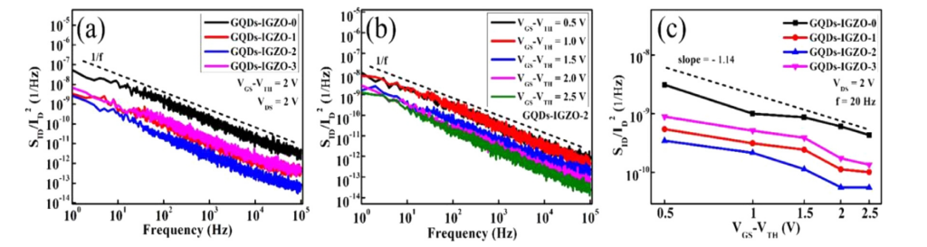
圖12. (a, b)頻率函數和(c) GQDs-IGZO TFTs的不同V
GS-V
TH的歸一化S
ID/I
D2。
相關研究成果由安徽大學材料科學與工程學院Xiaofen Xu等人于2023年發表在Journal of Materials Science & Technology (https://doi.org/10.1016/j.jmst.2022.09.016)上。原文:Optimization of electrical performance and stability of fully solution-driven α-InGaZnO thin-film transistors by graphene quantum dots
轉自《石墨烯研究》公眾號