近年來,銀納米粒子(AgNPs)由于具有許多優越的性質而被認為是最杰出的納米材料之一,已被用于各種應用,包括抗菌和環境處理。盡管如此,由于團聚的傾向以及與反應物的有限相互作用,裸AgNPs的實際應用受到了很大的阻礙。因此,氧化石墨烯(GO)或其衍生物已被廣泛用作減少AgNPs自團聚和提高其物理化學性能的有效載體。AgNPs和氧化石墨烯納米復合材料(AgNPs@GO)的合成可以通過多種方法進行,其中化學和生物方法由于易于操作、效率高以及各種類型前體的可用性而被廣泛應用。本文綜述了AgNPs@GO納米復合材料的化學和生物合成方法,以及不同因素對制備過程的影響。討論了化學方法和生物方法在所得材料形態特性方面的比較。綜述了AgNPs@GO在污染物比色檢測、抗菌活性、催化還原等工業領域的應用,并對化學方法和生物方法制備的納米復合材料的性能進行了詳細的比較。

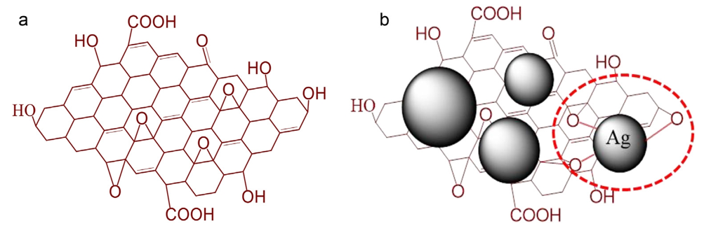
圖1. (a)GO和(b)AgNPs@GO的結構。

圖2. 一些流行的納米顆粒合成方法。

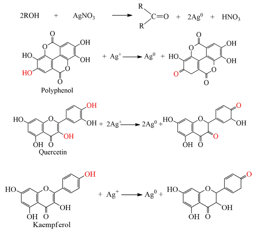
圖3. 來源于植物的還原劑。

圖4. 芒果葉提取物生物分子從Ag
+還原為AgNPs的過程。

圖5. 綜述內容示意圖。

圖6. 不同因素對AgNPs@GO制備過程的影響。
相關研究成果由越南胡志明市理工大學化學工程與石油加工重點實驗室N.D. Hai等人于2023年發表在Materials Today Sustainability (https://doi.org/10.1016/j.mtsust.2023.100544)上。原文:A review on the chemical and biological synthesis of silver nanoparticles@graphene oxide nanocomposites: A comparison。
轉自《石墨烯研究》公眾號