采用核自旋超極化核磁共振(NMR)表征了CO
2電還原反應中CO
2衍生物質在石墨烯量子點上的可逆吸附。利用溶解動態核極化(DNP)技術對
13C標記的碳酸氫鈉進行超極化,使信號增強了5000倍,實現了實時和原位
13C核磁共振實驗。利用時間分辨DNP-NMR實驗測量了R
1和R
2弛豫速率,并確定了結合物質為碳酸及其共軛物。一個物質結合態和自由態弛豫速率有顯著差異,表明是可逆結合。除了弛豫速率外,還從小翻轉角實驗中擬合了動力學速率常數,并與理論計算進行了比較。pH相關的吸附和解吸速率常數分別為3.5 ~ 9.5和0.7 ~ 2.0 s
-1,平均結合距離為279 ~ 291 pm。DNP-NMR技術是研究表面吸附的有效方法,在電化學和動力學方面具有潛在的應用前景。

圖1. DNP極化碳酸氫鹽與pH為2.63、4.30、6.10、8.95、11.45的緩沖溶液混合的歸一化
13C NMR譜,從下到上分別為a)存在和b)不存在預加載GQD。

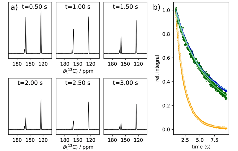
圖2. a) pH = 4.30時CPMG實驗的
13C核磁共振譜時間分辨切片。b) 159.5 ppm處結合峰的歸一化時間相關峰積分的擬合(黃色;底部)和游離CO
2(aq)峰值為124.7 ppm(藍色;頂部)和游離碳酸氫鹽峰值在160.5 ppm(綠色;中間)。

圖3. 小翻轉角實驗中游離CO
2(aq)峰(藍色)、結合峰(黃色)和游離峰(綠色)積分疊加的擬合曲線,pH為 a) 4.30, b) 6.10, c) 8.95和 d) 11.45。以混合開始作為零時間標記,生成相應的擬合曲線(淺色)。

圖4. a)結合峰R
1, b)自由峰R
1, c)結合峰R
2, d)自由峰R
2,計算不同機制下的弛豫率與實驗值的比較。實驗值的誤差由三個平行實驗的標準差給出。
相關研究成果由美國德克薩斯農工大學化學系Zefan Zhang等人于2023年發表在Carbon (https://doi.org/10.1016/j.carbon.2023.118446)上。原文:Substrate interaction of graphene quantum dots in solution studied by hyperpolarized NMR。
轉自《石墨烯研究》公眾號