苝酰二亞胺(PDI)衍生物作為一種重要的光電活性材料,在高性能有機發光二極管、熒光和電化學發光(ECL)發光基團的開發中得到了廣泛的應用。本文研究了類石墨烯N-環PDI衍生物,tPDI
2N -三甲基芐基(tPDI
2N-TMB)與三正丙胺(TPrA)和過氧化苯甲酰(BPO)的湮滅途徑和共反應途徑的ECL性能及其絕對效率。ECL電壓曲線和相應的線軸ECL光譜顯示了光的產生機制。在這些體系中,tPDI
2N-TMB在675 nm處的ECL發射峰值波長與其光致發光(PL)相似,證明tPDI
2N-TMB與TPrA或BPO共反應體系的ECL發射主要來自單體激發態,沒有表面態和石墨烯量子點的二聚化過程。tPDI
2N-TMB /TPrA體系的相對ECL效率為165%,高于許多有機分子。考慮到tPDI
2N-TMB和 之間自由基行為的差異,絕對ECL效率適合客觀地反映電化學和ECL過程。tPDI
2N-TMB優異的ECL性能顯示出在發光器件和生物分析應用中開發新的PDI化合物的巨大潛力。

圖1. (A) 0.2 mM tPDI
2N-TMB在1:1苯/MeCN(體積比)溶液中,以0.1 M TBAPF
6作為支撐電解質,(A)DPVs和(B)CV及其對應的ECL -電壓曲線。CV掃描速率為100 mV s
-1。插圖描繪了tPDI
2N -TMB的分子結構。(C)電位脈沖實驗的累積ECL譜。(D) 0.03 mM tPDI
2N -TMB在1:1苯:MeCN(體積比)溶液(λ
ex= 465 nm)中的PL光譜。

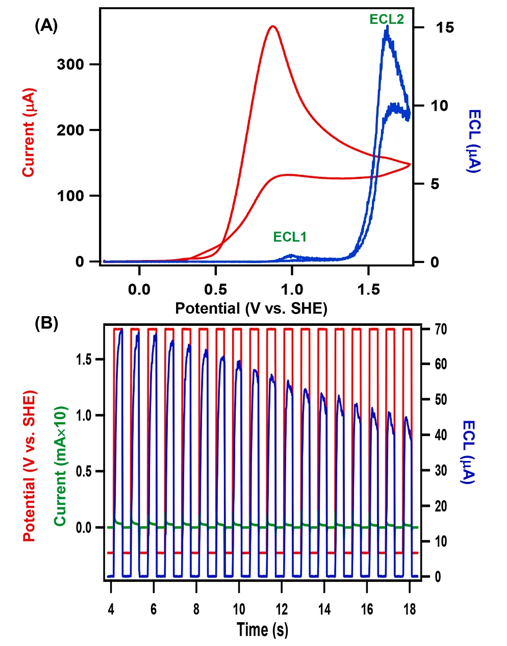
圖2. (A)以0.1 M TBAPF
6為支撐電解質,在苯:MeCN(體積比)為1:1的溶液中, 20 mM TPrA,ECL電壓曲線為0.2 mM tPDI
2N-TMB的CV曲線。CV掃描速率為100 mV s
-1。(B)電流-時間響應及對應的ECL -時間曲線,0.2 mM tPDI
2N-TMB,20 mM TPrA,-0.5和1.80 V之間的電位脈沖實驗,頻率為10 Hz。

圖3. 與TPrA的共反應劑ECL途徑的機制。

圖4. 20 mM TPrA,0.2 mM tPDI
2N-TMB,0.91 ~ 1.31 V、1.31 ~ 1.63 V和1.63 ~ 0.91 V電位范圍內的線軸ECL光譜,分別用綠色、紅色和紫色編碼。

圖5. (A)在以0.1 M TBAPF
6為支撐電解質的1:1苯:MeCN(體積比)溶液中, 5 mM BPO,0.2 mM tPDI
2N-TMB的循環伏安圖及其對應的ECL -電壓曲線。(B)以BPO為共反應劑的tPDI
2N-TMB的ECL機理。(C)在5mM BPO存在下,0.2 mM tPDI
2N-TMB的線軸ECL光譜。插圖是光譜的二維視圖。(D)在10 Hz頻率電位脈沖實驗中,0.2 mM tPDI
2N-TMB以5 mM BPO為共反應物時的電流時間及其對應的ECL -時間曲線。
相關研究成果由加拿大西部大學、湖南農業大學化學與材料科學學院Xiaoli Qin等人于2023年發表在Electrochimica Acta (https://doi.org/10.1016/j.electacta.2023.142226)上。原文:A graphene-like N-annulated perylene diimide dimer compound for highly efficient electrochemiluminescence。
轉自《石墨烯研究》公眾號