研究了石墨烯片狀增強復合材料(GPLRC)層合板的線性和非線性振動特性。基于一階剪切理論和von Karman幾何非線性,建立了GPLRC層合板的能量表達式。采用罰函數法建立邊界彈性勢能,模擬不同的邊界條件。在瑞利-里茲法中引入邊界勢能,計算了GPLRC疊合板的線性和非線性頻率。通過算例驗證了該方法的收斂性和準確性,并分析了不同參數對頻率的影響。考慮懸臂邊界條件,利用Hamilton原理得到了GPLRC疊合板的非線性運動控制方程。采用伽遼金法推導了層合板的二自由度常微分運動方程??紤]基參量共振和1:1內共振,得到了橫向激勵下結構的幅頻響應曲線。通過數值模擬研究了橫向激勵系數和阻尼系數對GPLRC層合板非線性振動特性的影響。

圖1. GPLRC層合板的簡化模型。

圖2. 截面上各層的材質及序號。
.png)
圖3. 懲罰因子對GPLRC層合板固有頻率的影響。
.png)
圖4. 固有頻率隨不同GP質量分數的變化。
.png)
圖5. 固有頻率隨不同長寬比的變化。
.png)
圖6. 非線性頻率比隨不同GP質量分數的變化。
.png)
圖7. 非線性頻率比隨寬高比和長厚比的變化。
.png)
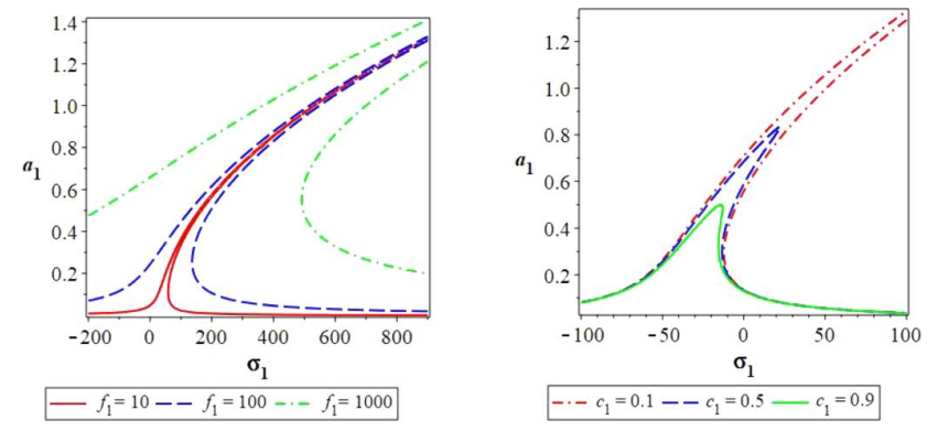
圖8. 響應頻率曲線。
.png)
圖9. 隨阻尼系數c
1變化的分岔圖。
.png)
圖10. 混沌運動c
1 = 0.08。
.png)
圖11. 周期運動c
1 = 0.45。
.png)
圖12. 橫向激勵變化
f1的分岔圖。
.png)
圖13. 混沌運動
f1 = 5。
.png)
圖14. 周期運動
f1 = 45。
.png)
圖15. 混沌運動
f1 = 55。

圖16. 周期運動
f1 = 85。

圖17. 混沌運動
f1 = 95。
相關研究成果由北京工業大學材料與制造學部、機械結構非線性振動與強度北京市重點實驗室Dongxing Cao等人于2023年發表在Thin-Walled Structures (https://doi.org/10.1016/j.tws.2023.110673)上。原文:Nonlinear dynamics analysis of a graphene laminated composite plate based on an extended Rayleigh-Ritz method。
轉自《石墨烯研究》公眾號