在炭化過程中,氧化石墨烯是淀粉直接轉化為高價值碳材料的有效促進劑。然而,氧化石墨烯在避免淀粉發泡和驅動碳質固體生長方面的具體機制尚不清楚。通過熱分析和氣液固產物分析,我們確定了氧化石墨烯在淀粉轉化為多孔碳球中的雙重功能。在物理層面上,氧化石墨烯涂層通過空間限制效應,不僅使淀粉相互分離,而且阻斷淀粉發泡產生的生物焦油,誘導焦油二次分解,形成碳骨架,從而獲得較高的產碳率。在化學層面上,氧化石墨烯涂層誘導淀粉的定量脫水,這意味著泡沫程度可控,并提供可調節的所得碳的孔隙結構。作為鋰存儲的負極材料,在20mA g
-1時具有665 mAh g
-1的高容量和良好的循環穩定性。這些結果為氧化石墨烯驅動淀粉向碳的可控轉化提供了更深入的理解,這可能會促進生物質衍生碳材料在儲能方面的實際應用。

圖1. 淀粉基炭制備工藝示意圖。

圖2. 玉米淀粉前驅體(a)、氧化石墨烯包覆的玉米淀粉前驅體GS10 (b)、碳化后的泡沫玉米淀粉(c)、碳化的GS10 (d)的SEM圖像、碳化的GS10、還原氧化石墨烯包覆部分(e)和淀粉衍生的非晶態部分(f)的TEM圖像。

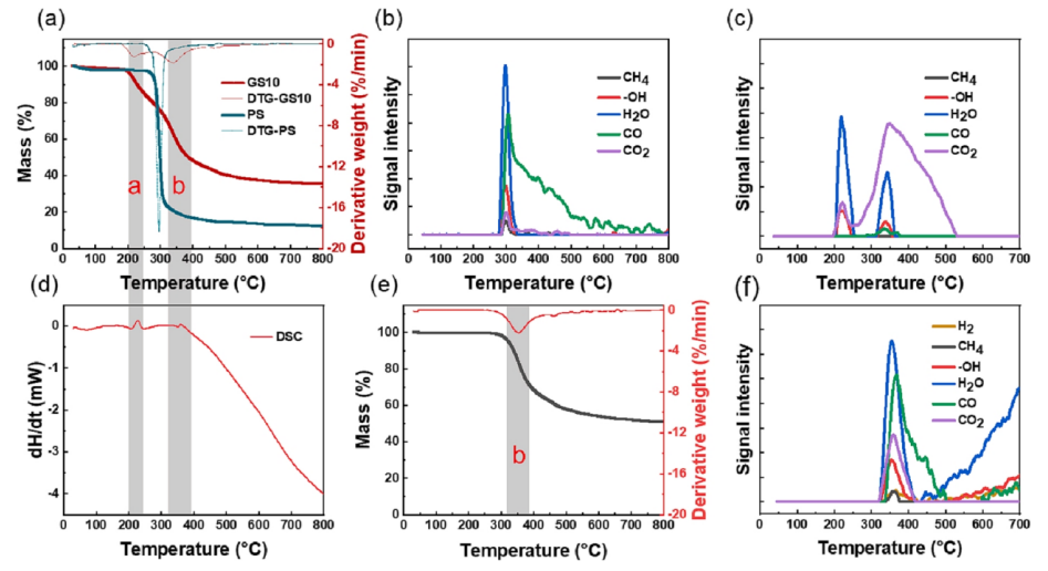
圖3. PS和GS10的TG-DTG曲線(a),PS(b)和GS10(c)的MS光譜,GS10(d)的DSC曲線,GS10-280(e)的TG-DTG-曲線,以及GS10-280的MS光譜(f)。

圖4. 每種前體的FT-IR光譜(a),每種碳化產物的XPS圖譜(b)、氮吸附-脫附等溫線(c)和相應的孔徑分布(d)、XRD圖譜(e)和拉曼光譜(f)。

圖5. GO涂層在分子水平上抑制淀粉發泡和隨后的碳化過程的可能機制。

圖6. 0.02 A g
-1時初始恒電流充放電曲線(a)、0.1 mV時初始CV曲線(b)、0.02 A g
-1、0.05 A g
-1、0.1 A g
-1、0.2 A g
-1、0.5 A g
-1、1 A g
-1、2 A g
-1、3 A g
-1和0.05 A g
-1 時速率性能測試(c),以及所有樣品在0.5 A g
-1時的循環性能(d)。
相關研究成果由太原理工大學材料科學與工程學院Yi-Ming Liu和中國科學院山西煤炭化學研究所、中科院炭材料重點實驗室Cheng-Meng Chen等人于2023年發表在Applied Surface Science (https://doi.org/10.1016/j.apsusc.2023.157371 )上。原文:Mechanistic insights into dual function of graphene oxide in preparing Starch-derived amorphous carbon for lithium storage。
轉自《石墨烯研究》公眾號