在本研究中,制備了一種負載鎳的還原氧化石墨烯(RGO)材料,據作者所知,這是RGO材料首次作為催化劑用于微藻類的熱液液化(HTL)。研究了還原氧化石墨烯負載鎳催化劑對螺旋藻HTL生物油產率和質量的影響。結果表明,該催化劑能提高生物油的產率,生物油質量的性能顯著提高。GC-MS分析表明,RGO催化劑能促進碳氫化合物的生成。當Ni添加量為5%時,生物油的氧含量最低(14.79%),當Ni添加量增加到25%時,碳氫化合物含量最高(11.41%)。此外,RGO催化劑還能使生物油中低沸點組分(<400℃)的含量從68%提高到81%。本研究可為石墨烯在微藻HTL中的進一步應用和高品質生物油的生產提供有價值的信息。

圖1. 石墨, GO, RGO 和 Ni-RGO的FT-IR譜。

圖2. 石墨, GO, RGO 和 Ni-RGO的XRD譜。

圖3. 石墨、GO、RGO和Ni-RGO的XPS譜(a)測量譜;(b) Ni-RGO的Ni 2p高分辨率光譜。

圖4. (a)石墨;(b)GO;(c)RGO和(d) Ni-RGO的SEM圖像。

圖5. 不同催化劑對生物油產率的影響。

圖6. 不同催化劑對生物油的GC-MS分析。

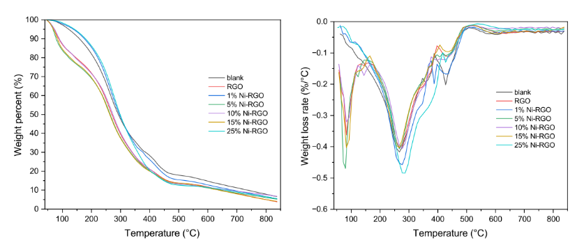
圖7. 生物油在不同催化劑時的TG/DTG曲線。

圖8. 不同催化劑時生物油的沸點范圍分布。

圖9. (a)脂質生成烴、(b)由氨基酸生成的2,5-二酮哌嗪的機理。
相關研究成果由中國人民大學環境學院Yanwei Liu和北京化工大學Huansheng Wang等人于2023年發表在Fuel Processing Technology (https://doi.org/10.1016/j.fuproc.2023.107653)上。原文:Catalytic hydrothermal liquefaction of microalgae over reduced graphene oxide support Ni catalyst。
轉自《石墨烯研究》公眾號