不同的石墨烯光電探測器可能有不同的光響應機制,一般來說,大多數石墨烯光電探測器傾向于只產生正或負的光電流。在這里,我們展示了一種基于化學氣相沉積(CVD)和PbS量子點(QDs)生長的石墨烯的光電探測器,具有正負光電流。在635 nm激光照射下,器件在低激光功率密度(0.17 μW)下產生了9 μA的正光電流,由于具有高增益機制,器件的響應度可達39.58 A /W。然而,在高激光功率密度(9.59 μW)時,由于熱散射,該器件表現出完全相反的特性。產生20 μA的負光電流,器件響應度為10.29 A/W。該裝置表現出兩種響應機制的共存。探索石墨烯中正負光電流的機制有助于研究石墨烯載流子的調控,也可以為石墨烯基憶阻器件提供可能的研究方向。

圖1. 量子點改性石墨烯器件結構示意圖及相關材料表征。(a)量子點改性石墨烯探測器,D、S電極與石墨烯直接形成歐姆接觸,背柵電極為n型重摻雜硅。(b)設備的掃描電子顯微鏡(SEM)圖像。(c)石墨烯在SiO
2/Si襯底上的拉曼光譜。(d)通過熱注入在170℃下生長的量子點的光譜吸收。

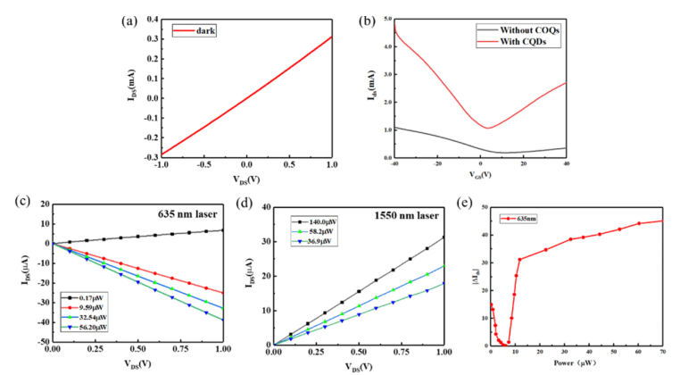
圖2. PbS -石墨烯器件的電氣和光學測試。(a) I-V特性(b) PbS量子點薄膜組裝前后的傳輸曲線。(c) (d) 635 nm和1550 nm激光在不同功率密度下光電流隨偏置的變化。(e)光電流對激光功率照射的依賴性。

圖3. 在柵極電壓調節下,器件的通道電阻和光電流的變化,以及器件中的響應機制示意圖。(a)和(b)電阻和光電流與器件的背柵電壓的函數。(c)和(d)器件在正負門電壓下的光電效應。(e)器件的熱散射效應。

圖4. 設備的響應時間。(a), (b)在高功率密度下,由于熱散射,器件的響應時間非常大。(c), (d)在低功率密度下,器件的響應時間主要由載流子壽命決定,響應時間較小。
相關研究成果由中國科學院半導體研究所集成光電子學國家重點實驗室、中國科學院大學材料科學與光電技術學院Run Chen等人于2022年發表在Photonics and Nanostructures - Fundamentals and Applications (https://doi.org/10.1016/j.photonics.2022.101083)上。原文:A hybrid graphene-PbS quantum dots photodetector with positive and negative photocurrents。
轉自《石墨烯研究》公眾號