基于過渡金屬碳化物/氮化物(MXenes)的柔性復合材料的發展越來越受歡迎,因為MXenes在電磁干擾(EMI)屏蔽方面具有很高的應用潛力。在這里,我們用一種簡單、簡便的溶液鑄造方法制備了一種新型的超柔性復合膜,由“垃圾”MXene沉淀物(MS)和水性聚氨酯組成。除了優異的機械強度和導電性,復合材料的MS含量可以達到一個非常廣泛的范圍,從而可以控制在一個很寬的范圍內的EMI屏蔽效果(SE)。含有70% MS的柔性低密度復合材料的x波段電磁干擾SE達到45.3 dB,厚度僅為0.51 mm。此外,該復合材料在x波段、p波段、k波段和r波段超寬帶千兆赫頻率范圍內的SE值均大于34.5 dB。此外,MS/WPU復合薄膜表現出優異的電熱和光熱性能,展示了基于MS的EMI屏蔽的多功能。結合成本效益、可持續發展和可擴展的制備方法,從“廢棄的MXene”中獲得的超柔性多功能復合材料在下一代電子產品中顯示出巨大的潛力。這項工作也為創新、高性能、多功能柔性復合材料的創造開辟了新的途徑。

圖1 (a) MS/的制造過程示意圖分子量復合薄膜。(b) MS片的AFM圖像。(c) MS的TEM圖(d) MS的衍射圖(e) MS/WPU復合膜的截面SEM圖。(f) C, Ti, O, Al元素MS/WPU復合薄膜的EDS映射圖像。(g)顯示超柔性性能的獨立MS/WPU復合薄膜照片。

圖2. (a)在WPU中使用不同數量MS制成的薄膜的拉伸應力-應變曲線。(b)相應的楊氏模量和抗拉強度。(c) MS基復合材料的導電性。(d)在3.0 V電壓下點亮LED燈的MS/WPU復合薄膜的各種MS含量的照片。

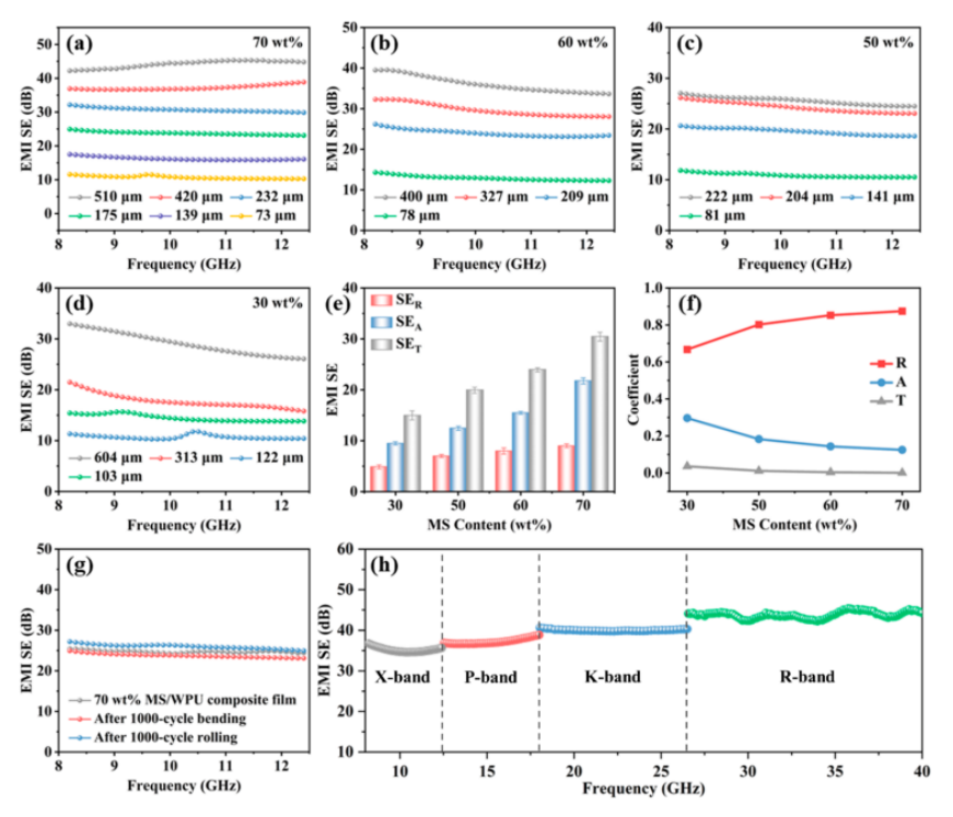
圖3 在x波段范圍內,不同厚度和MS負載的復合薄膜的EMI SE。

圖4. 圖中給出了MS/WPU復合膜的電磁干擾屏蔽機理,以達到較高的電磁干擾屏蔽性能。

圖5 70 wt % MS/WPU復合薄膜在(a) 0.6 V, (b) 1.0 V, (c) 1.4 V和(d) 1.8 V電壓下的電熱響應。(e) 70 wt % MS/WPU復合膜的I−V曲線。(f)典型商用金屬合金和由70 wt % MS/WPU制成的復合膜的平衡溫度與輸入功率密度曲線。(g) 70 wt % MS/WPU復合薄膜在1.8 V的穩定電壓下在各種加熱/冷卻循環中的溫度穩定性。(h) 70 wt % MS/WPU復合膜在1.4 V恒定電壓下長時間的電熱曲線。(i)在施加1.4 V電壓下使用70 wt % MS/WPU復合膜進行除冰試驗。

圖6 (a) 70 wt % MS/WPU復合膜在不同功率密度光照射下的光熱響應曲線。(b)不同MS含量的MS/WPU復合膜在200 mW/cm
2光照射下的光熱響應。(c) 70 wt % MS/WPU復合膜在300 mW/cm
2光照下在第1次和第10次加熱/冷卻循環中的光熱曲線。(d) 70 wt % MS/WPU復合膜在反復加熱-冷卻循環和不同功率密度下的光熱曲線。(e) 70 wt % MS/WPU復合膜在200 mW/cm
2光照射4300 s下的光熱曲線.
相關科研成果由蘇黎世聯邦理工學院Na Wu等人于2022年發表在ACS Applied Materials & Interfaces (https://doi.org/10.1021/acsami.2c13849)上。原文:From MXene Trash to Ultraflexible Composites for Multifunctional Electromagnetic Interference Shielding。
轉自《石墨烯研究》公眾號