在石墨烯中創建強大且定義明確的人工原子電荷并理解其載流子依賴性電子特性的能力代表了石墨烯基量子器件開發的一個重要目標。在此,我們設計了一種新的途徑,通過后(N)離子注入到背柵石墨烯器件中,將點電荷原子級精確地實施到石墨烯晶格中。N摻雜劑表現為面內類質子電荷,表現為在導帶中形成特征共振態。在不同電荷載流子密度下的掃描隧道譜測量揭示了相對于狄拉克點高達220 meV的共振態的巨大能量重整化,伴隨著觀察到接近單個N摻雜劑的門可調長程屏蔽效應。聯合密度泛函理論和修正微擾勢的緊束縛計算證實了實驗結果,并突出了N誘導微擾的短程特性。

圖1. 在后向門 G/BN 中制備取代氮摻雜劑。(a)示意圖,顯示使用低能量(+ 100eV) N + 離子注入將 N 摻雜劑摻入背向門控 G/BN 的途徑。(b)可調質子誘導電位通過柵極的示意圖。(c)大尺度掃描隧道顯微鏡(STM)圖像揭示了單個取代 N 原子的存在。(d)在與圖(c)中 STM 圖像相同的表面面積上 V = + 0.6 V 時獲得的 dI/dV 圖像。(e)個別 N 摻雜劑的放大圖像。(f)單個非摻雜劑掃描隧道顯微鏡圖像的快速傅里葉變換。

圖2. 單個N摻雜劑的特性。(a)在N位和原始石墨烯上獲得的dI/dV光譜。(b) 2D彩色編碼等高線圖,其由沿著橫穿單個N摻雜劑的線獲得的一組點dI/dV光譜構建,所述單個N摻雜劑在圖(a)中的插圖STM圖像中指示。(c,d) dI/dV圖在左上角所示的負(c)和正(d)偏置電壓下獲得。每個比例尺的長度為2納米。dI/dV光譜是在隧道設定點Vs= +1.2 V,I = 2 nA時獲得的。

圖3. 單個N摻雜物的電子結構。(a)在N點及其附近獲得的dI/dV光譜(隧道設定點Vs = +1.2 V,I = 2 nA)。(b)針對擾動電位(δ)值:δ0 = 7 eV、δ1 = 0.7 eV和δt = 0.5 eV,使用TB模型在N站點及其附近獲得的特定站點DOS譜。(C)在一個10 × 10超晶胞中,DFT計算的N位點及其第一個(1NN)、第二個(2NN)和第三個(3NN)最近的C鄰居的DOS。(b,c) ω是從狄拉克點測量的能量。(d,e)實空間光譜函數圖,使用TB形式在+0.2 (d)和-0.2 (e) eV的能量下計算。顏色代表光譜函數與原始石墨烯值的局部偏差(DOS)。(f)面板(e)中用正方形標記的區域的放大圖像。綠色虛線圓圈標記了N站點的位置。

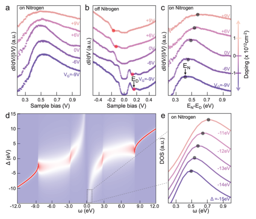
圖4. N摻雜的柵可調電子性質。(a)在不同VG下在N個位置獲得的歸一化dI/dV/(I/V)光譜。(b)在各種VG下在原始石墨烯區域上獲得的dI/dV光譜。紅點標記狄拉克點的位置。(c)考慮到聲子輔助的非彈性隧穿過程,N誘導共振態(EN)相對于從在不同VG下獲得的特定位置dI/dV譜中提取的能量位置。黑點標志著EN的最大值。(d)顏色編碼的TB光譜圖,ω = 0,對應于狄拉克點。(e)為擾動勢(δ)的單調變化值提取的TB光譜。dI/dV光譜是在隧道設定點Vs= +1.2 V,I = 2 nA下獲得的。
相關科研成果由新加坡國立大學Aleksandr Rodin、Jiong Lu等人于2022年發表在Nano Letters(https://doi.org/10.1021/acs.nanolett.2c02235)上。原文:Gate-Tunable Resonance State and Screening Effects for Proton-Like Atomic Charge in Graphene。
轉自《石墨烯研究》公眾號