通過實驗表征和第一性原理計算,考慮官能團、碳納米管(CNT)的手性和CNT與氧化石墨烯(GO)的接觸面積的影響,研究了CNTs與GO之間的相互作用。結果表明,氧化石墨烯可以有效地改善碳納米管的分散性。氧化石墨烯濃度越高,碳納米管的分散性越好。環氧基是首選官能團,
Eint值最高,其次是羥基。C p-O p 軌道之間的雜化形成離子鍵是增強CNT與環氧基團之間粘附力的主要相互作用。對于羥基和羧基,碳納米管與官能團之間的相互作用歸因于C-H共價鍵。GO對ac-CNT的分散作用比zz-CNT更明顯。與官能團相比,氧化石墨烯與碳納米管的接觸面積對相互作用的影響更為顯著。增加接觸面積有利于改善碳納米管與氧化石墨烯的相互作用。

圖1. 不同濃度比例的CNTs/GO混合溶液的顯微照片((a) CNTs/GO=1:0;(b) CNTs/GO = 1:1;(c) CNTs/GO = 1:5;(d)CNTs/GO = 1:10)。

圖2. 不同濃度比例的CNTs/GO混合溶液的微觀形貌((a) CNTs/GO=1:0;(b) CNTs/GO = 1:1;(c) CNTs/GO = 1:5;(d)CNTs/GO = 1:10)。

圖3. 不同氧化度的GO的(a) XRD、(b) FTIR和(c)拉曼光譜。

圖4. 不同氧化度的氧化石墨烯的C1s XPS光譜。

圖5. CNTs和GO混合溶液的光學顯微結構。(a) GO-1, (b) GO-2和(c) GO-3。

圖6. 具有不同官能團的初始偽AB-型堆積結構。(a) ac-CNT/GO-COOH, (b) ac-CNT/GO-OH, (c) ac-CNT/GO-O 。

圖7. CNT與GO交互前后的DOS。

圖8. CNT手性不同時CNTs -GO復合物弛豫后的PDOS。(a)ac-CNT / GO-COOH, (b) ac-CNT /GO-OH,(c) ac-CNT /GO-O,(d) zz-CNT / GO-COOH (e) zz-CNT/GO-OH,(f) zz-CNT/GO-O。

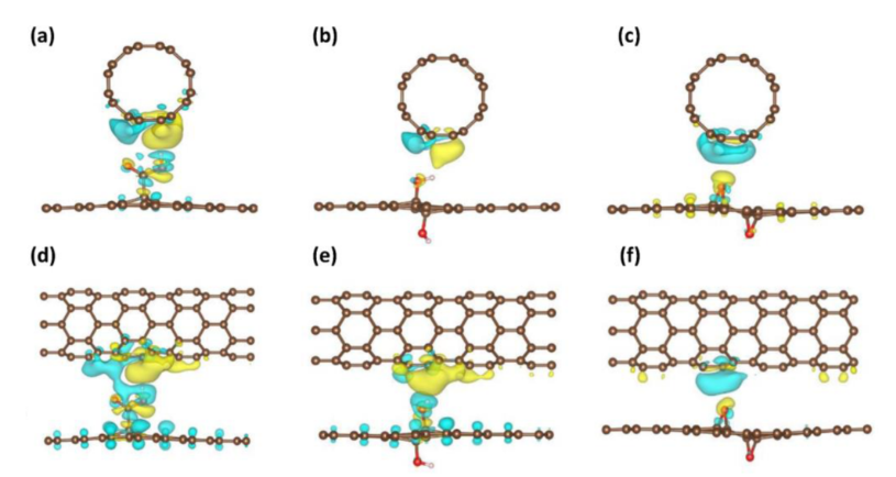
圖9. CNT與GO與不同官能團相互作用的電子密度差。(a)ac-CNT / GO-COOH, (b) ac-CNT /GO-OH,(c) ac-CNT /GO-O,(d) zz-CNT / GO-COOH (e) zz-CNT/GO-OH,(f) zz-CNT/GO-O。

圖10. 不同曲率時ac-CNT與GO之間的初始偽AB-型堆積結構。(a) 0 nm
-1,(b) 0.25 nm
-1,(c) 0.37 nm
-1。

圖11. 不同曲率時ac-CNT與GO之間相互作用的電子密度差。(a) 0 nm
-1,(b) 0.25 nm
-1,(c) 0.37 nm
-1。
相關研究成果由重慶大學航空航天學院Youzhi Gao等人于2022年發表在Surfaces and Interfaces (https://doi.org/10.1016/j.surfin.2022.101836)上。原文:Experimental and first-principles study of the interactions between graphene oxide and carbon nanotube。
轉自《石墨烯研究》公眾號