文章通過密度泛函理論計算和開發的小角度連續介質模型,從理論上研究了扭曲雙層、三層和雙層-雙層石墨烯的Bernal疊加雙光子吸收特性,并研究了石墨烯層數和扭曲角度的雙光子吸收特性。得到了上述三種扭曲石墨烯在狄拉克點周圍的雙光子吸收表達式。對于小于15°的小旋轉角,該旋轉角可以根據角度相關的重整化費米速度調整雙光子吸收系數。

圖1.具有相稱扭轉角θ= 13.17°的(a, b) 扭曲雙層石墨烯(TBG), (c, d) 扭曲三層石墨烯(TTG)和(e, f) 扭曲雙層-雙層石墨烯(TDBG)的Moiré晶胞俯視圖和原子結構堆疊模式側視圖。

圖2. 在Brillouin區K點附近,扭轉角分別為θ= 0°(左)、θ= 7.34°(中)和θ= 13.17°(右)的石墨烯體系能帶結構。(a-c) TBG, (d-f) TTG和(g-i) TDBG。虛線代表費米面。

圖3. 三種不同扭轉角的扭曲石墨烯體系的TPA光譜隨入射光波長的變化。

圖4. TPA系數與 (a) TBG、(b) TTG和(c) TDBG的三種不同入射波長的扭轉角的關系。

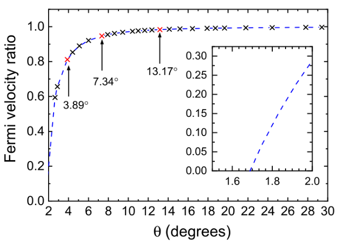
圖5. 在連續角2°< θ < 30°范圍內,費米速度比~vF/vF隨扭轉角的變化曲線。獨立交叉表明扭轉角相稱。交叉插圖:小角度范圍內的費米速度比。
相關研究成果由云南師范大學物理與電子信息學院Chang Zhou等人于2022年發表在Physica E: Low-dimensional Systems and Nanostructures (https://doi.org/10.1016/j.physe.2022.115204)上。原文:Angle-tunable two-photon absorption in twisted graphene systems。
轉自《石墨烯研究》公眾號