過渡金屬硫化物是公認的儲能材料。采用水熱法合成了一種高效穩定的氧還原反應(ORR)復合催化劑rGO改性VS
4。采用掃描電子顯微鏡(SEM)、透射電子顯微鏡(TEM)、X-射線衍射(XRD)、拉曼光譜、BET比表面積法(BET)、X-射線光電子能譜(XPS)和電化學方法對催化劑的結構、形貌、組成和催化活性進行了檢測。結果表明,在催化過程中,VS
4與rGO之間存在較強的鍵合,有利于電子的轉移。因此,該復合催化劑具有優越的ORR活性、甲醇耐受性和較長的耐用性。本研究為開發廉價、高效、穩定的Pt/C替代催化劑提供了有益的探索。

圖1. rGO改性VS
4的(a-c)SEM和(d-f) TEM圖像。

圖2. (a) VS
2和rGO-改性VS
4的XRD譜圖;(b) rGO-改性VS
4的拉曼光譜;(c) VS
2和rGO-改性VS
4的氮吸附-脫附等溫線;(d) VS
2和rGO-改性VS
4的孔徑分布數據。

圖3. (a) rGO-改性VS
4和VS
2的XPS譜,rGO-改性VS
4的(b) C 1s、(c) S 2p和(d) V 2p核級及對應的退卷積光譜。

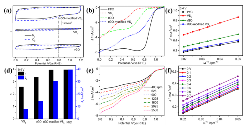
圖4. (a)三個樣品在N
2-和O
2-飽和0.1 M KOH溶液中的CV曲線。(b)在O
2-飽和0.1 M KOH中三個樣品和Pt/C的線性掃描伏安法(LSV),RDE旋轉速率為1600 rpm。(c)三個樣品和Pt/ c在0.4 V時的K-L曲線, (d)三個樣品和Pt/ c的ORR轉移電子數n和I
k。(e) rGO改性VS
4的LSV。(f)計算rGO改性VS
4的K-L圖。

圖5. (a)三個樣品和Pt/C的Tafel圖。(b)三個樣品和Pt/C的EIS圖(插圖:與EIS一致的等效電路模型),(C) rGO改性VS
4和Pt/C加入3 M甲醇前后的計時安培響應。(d) rGO改性VS
4和Pt/C的i-t。
相關研究成果由安徽科技大學化學與材料工程學院Jing Tang等人于2022年發表在International Journal of Hydrogen Energy (https://doi.org/10.1016/j.ijhydene.2022.01.063)上。原文:Reduced graphene oxide-modified vanadium tetrasulfide serves as an excellent catalyst for oxygen reduction reaction。
轉自《石墨烯研究》公眾號