氫氧化反應(HOR)最近引起了極大的關注,然而非鉑族金屬催化劑在堿性條件下表現出較差的HOR性能,這嚴重阻礙了氫氧化物交換膜燃料電池的發展。這里,基于相和界面工程,可以顯著增強碳化鎳(Ni3C) 納米枝的堿性HOR性能。具體而言,是通過對枝狀Ni3C納米結構進行簡易的退火處理,獲得Ni/Ni3C異質結構,從而實現界面工程。作為一種有前途的非鉑族金屬HOR催化劑,Ni/Ni3C的強界面協同作用顯著提高了其在堿性介質中的HOR性能,活性與商業Pt/C催化劑相當,并表現出優異的CO耐受性。機理研究表明,界面協同作用促進了Ni向Ni3C的電子轉移,從而調節了*H和*OH物種的吸收強度。這項工作為設計高性能非鉑族金屬電催化劑開辟了新的途徑。

Figure 1. (a)Ni/Ni3C/C異質結構的合成程序示意圖。(b) XRD圖。(c) HAADF-STEM圖和(d) HRTEM圖。(e) XRD圖譜(插圖:Ni3C/C-350的結構)。(f)Ni3C/C-350的TEM圖和(g) HRTEM圖。(h)Ni3C/C-350的STEM和EDS圖。

Figure 2. (a) XPS譜圖。(b)Ni L-邊TEY XAS光譜。(c) Ni K-邊XANES光譜,插圖是圓圈區域的放大圖像。(d) EXAFS光譜。(e)小波變換。

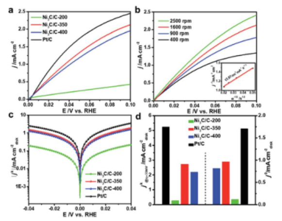
Figure 3. (a) HOR極化曲線比較。(b) Ni3C/C-350 在不同旋轉速率下的極化曲線。 (c) Tafel 圖從極化曲線和B-V方程擬合結果 (d) 動力學電流比較。

Figure 4. (a) Ni3C/C-200, (b) Ni3C/C-350 和 (c) Ni3C/C-400的加速耐久性試驗結果。(d-f) 1000 ppm CO存在下,三種催化的極化曲線比較。(g) 在0.05 V電位下存在1000 ppm CO時,相對電流-時間計時電流響應。

Figure 5. Ni/Ni3C界面上HOR活性的DFT計算。(a)優化的結構模型。(b) H*吸附的自由能圖。(c)所計算的OH*結合能。(d)所計算的態密度(PDOS)。
該研究工作由廈門大學Xiaoqing Huang和常熟理工學院Hongbo Geng課題組于2021年發表在Journal of Materials Chemistry A期刊上。原文:Phase and interface engineering of nickel carbide nanobranches for efficient hydrogen oxidation catalysis。
轉自《石墨烯研究》公眾號