采用密度泛函理論(DFT)計算方法研究了官能團(羥基和環氧基)對氧化石墨烯與氧化鐵基體界面相互作用的影響。計算結果表明,吸附的官能團可以提高GO與Fe
2O
3基底之間的相互作用強度,結合能增強的幅度與官能團的吸附位有關。對于位于表面O原子頂部氧化原子相鄰C原子的GO/ Fe
2O
3-O模型,結合能顯著增強,這主要是由于界面C-O共價鍵的形成。此外,GO/ Fe
2O
3-O模型的最大結合能是Gr/ Fe
2O
3-O模型的4倍以上。對于本文研究的GO/Fe
2O
3-O和GO/Fe
2O
3-Fe模型,GO在Fe
2O
3表面發生物理吸附,結合能略有提高。該研究有助于更深入地了解石墨烯基涂層材料在氧化鐵表面的防護性能。

圖1. 研究了(a)Fe
2O
3-Fe和(b)Fe
2O
3-O表面的初始結構和優化結構。氧化鐵的鐵原子和氧原子分別用紫色和紅色表示。
圖2. Gr/Fe
2O
3-Fe模型中石墨烯層上四個具有代表性的官能團吸附點。C原子、Fe原子和O原子分別顯示為灰色、紫色和紅色。吸附位點1、2、3和4上的C原子分別用黃色、綠色、藍色和粉色標記。

圖3. (a)Gr/Fe
2O
3-Fe,(b)GO-OH-2/Fe
2O
3-Fe,(c)GO-O-23/Fe
2O
3-Fe模型優化結構的垂直視圖(上)和橫向視圖(下)。垂直視圖中,Fe原子表面頂部的C原子用黃色標記,官能團的O原子用粉色標記。

圖4. (a)Gr/Fe
2O
3-Fe,(b)GO-OH-2/Fe
2O
3-Fe,(c)GO-O-23/Fe
2O
3-Fe模型的電荷密度差(上)及其二維圖(下)。上圖中的Fe、O、C和H原子分別以藍色、紅色、灰色和白色顯示。青色和黃色表示電子的消耗和積累,等值面值為0.002 e/Bohr
3。

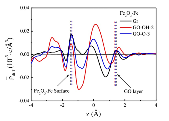
圖5. Gr/Fe
2O
3-Fe、GO-OH-2/Fe
2O
3-Fe和GO-O-23/Fe
2O
3-Fe模型沿z-方向面平均電荷密度差。左(右)虛線之間的空間表示Fe
2O
3-Fe表面和GO層之間的界面。
圖6. (a)Gr/Fe
2O
3-O,(b)GO-OH-2/Fe
2O
3-O,(c)GO-OH-3/Fe
2O
3-O模型優化結構的垂直視圖(上)和橫向視圖(下)。在垂直視圖中,O原子表面頂部的C原子用黃色標記,官能團中的O原子用粉色標記。

圖7. (a)Gr/Fe
2O
3-O,(b)GO-OH-2/Fe
2O
3-O,(c)GO-OH-3/Fe
2O
3-O模型的電荷密度差。青色和黃色表示電子的消耗和積累,等值面值為0.003 e/Bohr
3, Fe、O、C和H原子分別顯示為藍色、紅色、灰色和白色。

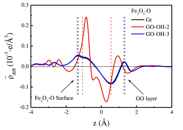
圖8. Gr/Fe
2O
3-O,GO-OH-2/Fe
2O
3-O,GO-OH-3/Fe
2O
3-O模型沿z-方向面平均電荷密度差。左(右)虛線之間的空間表示Fe
2O
3-Fe表面和GO層之間的界面。

圖9. Gr/Fe
2O
3-O,GO-OH-2/Fe
2O
3-O,GO-OH-3/Fe
2O
3-O模型中頂部C原子2p軌道和O原子下方2p軌道的PDOS。
相關研究成果由重慶大學機械傳動國家重點實驗室Xia Wang等人于2021年發表在Surface Science (https://doi.org/10.1016/j.susc.2021.121982)上。原文:Effect of functional groups on the adsorption of graphene oxide on iron oxide surface。
轉自《石墨烯研究》公眾號