本研究采用一階剪切變形理論(FSDT)建立了功能梯度石墨烯板增強復合材料(FG-GPLRC)截錐殼的非線性動力學模型。對FG-GPLRC截錐殼進行了振動分析。考慮到FG-GPLRC截錐殼的石墨烯片(GPLs)具有三種不同的分布模式,采用改進的Halpin-Tsai模型計算有效楊氏模量。利用Hamilton原理、FSDT和von Karman型非線性幾何關系推導了FG-GPLRC截錐殼的偏微分控制方程組。采用伽遼金法求解截錐殼的常微分方程。然后,采用諧波平衡法求解FG-GPLRC截錐殼的解析非線性頻率。討論了FG-GPLRC截錐殼的質量分數、GPLs分布形式、長徑比、徑厚比等因素對其非線性固有頻率特性的影響。這項研究最終發現了FG-GPLRC截錐殼的周期運動和混沌運動。

圖1. FG-GPLRC截錐殼模型及曲線坐標系。

圖2. FG-GPLRC材料中三種GPLs的分布模式。

圖3. FG-GPLRC截錐殼GPLs的體積分數。

圖4. FG-GPLRC截錐殼的線性基本固有頻率。

圖5. FG-GPLRC截錐殼最大振幅對非線性基頻與線性基頻之比的影響。

圖6. FG-GPLRC截錐殼中GPLs重量分數對非線性基頻與線性基頻之比的影響。

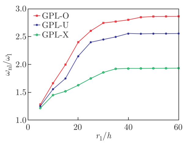
圖7. FG-GPLRC截錐殼的徑厚比r
1/h對非線性基頻與線性基頻之比的影響。

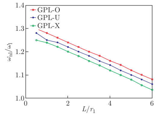
圖8. FG-GPLRC截錐殼長徑比L/r
1對非線性基頻與線性基頻之比的影響。

圖9. FG-GPLRC截錐殼橫向激勵與第一模態振幅的分岔圖。

圖10. FG-GPLRC截錐殼在f=6.3x10
5時的周期運動:(a)相位圖和(b)時程圖。

圖11. FG-GPLRC截錐殼在f=6.6x10
5時的混沌運動:(a)相位圖和(b)時程圖。
相關研究成果由北京信息科技大學機械工程學院Shaowu YANG等人于2021年發表在Applied Mathematics and Mechanics (https://doi.org/10.1007/s10483-021-2747-9)上。原文:Nonlinear vibration of functionally graded graphene platelet-reinforced composite truncated conical shell using first-order shear deformation theory。
轉自《石墨烯研究》公眾號