基于石墨烯的光電探測器因其帶寬大、占地面積小、與硅基光子學平臺兼容等優點,在高速光通信領域引起了人們的極大關注。大帶寬硅基相干光接收機(OCR)是采用先進調制格式的大容量光通信網絡的關鍵器件。在這里,我們提出并用實驗證明了一種基于90度光混合和石墨烯等離子體縫隙波導光電探測器的集成相干光接收器,其具有占地面積小、大帶寬遠超過67 GHz的特點。結合均衡檢測,接收到的90 Gbit/s二元相移鍵控信號具有較高的信噪比。此外,在單極化載波上實現了200 Gbit/s正交相移鍵控和240 Gbit/s 16正交振幅調制信號的接收,附加功耗低于14 fJ/bit。這種基于石墨烯的相干光接收器在400千兆以太網和800千兆以太網技術中具有潛在的應用前景,為未來的高速相干光通信網絡鋪平了另一條道路。

圖1. PSW上帶有石墨烯的OCR。(a)所提出的基于石墨烯的OCR示意圖。GS電極:接地信號電極。(b,c)分別在(b)端口4和(c)端口2的光輸入下MMI耦合器模式圖。(d) MMI耦合器的偽色SEM圖像(90度光混合)。(e)所提出的OCR的光學顯微鏡圖像。在將石墨烯轉移到器件之前拍攝的圖像。(f)PSW PD上石墨烯的偽色SEM圖像。
圖2. 90度光混合性能。(a)混合動力中四個輸出端口的測量傳輸。CH表示輸出通道,該數字與輸出端口數字對應。插圖:測量混合動力的相位偏差。(b)測量混合動力的功率失衡。藍線(紅線)表示輸出通道1和4(通道2和3)之間的功率失衡。
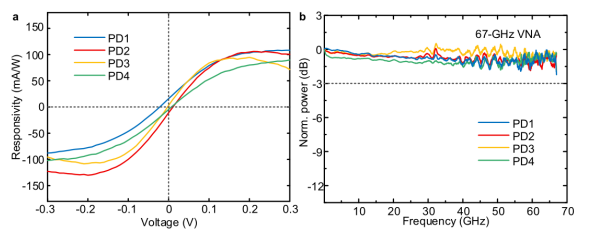
圖3. 石墨烯-PSW PDs的性能。(a)四個PDs在1550 nm處的偏置電壓函數的響應度。(b)四個PDs的頻率響應。VNA:矢量網絡分析器。
圖4. 平衡檢測測試。(a)平衡檢測的測量裝置。AWG:任意波形發生器,TL:可調諧激光器,EDFA:摻鉺光纖放大器,PC:偏振控制器,ATT:光衰減器,EA:電放大器,RTO:實時示波器。(b,f) (b)50Gbit/s和(f)90Gbit/s BPSK信號的實時信號波形(藍線代表I+分支,紅線代表I−分支)。(c-e) (c)I+分支,(d)I−分支以及(e)平衡檢測的50 Gbit/s BPSK眼圖。(g–i) (g)I+分支,(h)I−分支以及(i)平衡檢測的90 Gbit/s BPSK眼圖。

圖5. 相干檢測的實驗演示。(a)相干檢測的測量設置。(b-e) (b)25 Gbaud、(c)50 Gbaud、(d)90 Gbaud和(e)100 Gbaud 的QPSK信號星座圖。(f)50 Gbaud QPSK信號的測量BERs與接收光功率的關系。SD:軟判決。(g-h) (g)40 Gbaud和(h)60 Gbaud的16QAM信號星座圖。
相關研究成果由華中科技大學光電信息學院、武漢光電國家實驗室Yilun Wang等人于2021年發表在nature communications (https://doi.org/10.1038/s41467-021-25374-0)上。原文:Ultrahigh-speed graphene-based optical coherent receiver。
轉自《石墨烯研究》公眾號