利用密度泛函理論(DFT)研究了NO在無金屬石墨烯上的解離。研究了硼和氮的雜原子取代對單空穴活性的影響。雖然摻雜不影響NO化學吸附勢壘,但發現解離步驟(勢壘高度為260 meV)由B激活(勢壘降低至4 meV),但由N失活(高達2.42 eV)。除了摻雜劑的性質外,雜原子相對于單空穴的位置對石墨烯的反應性有更大的影響,從而將離解勢壘降低了四倍。

圖1. 圖a)-d)顯示了本工作中使用的反應途徑。圖a)是最初的空穴。圖b)顯示了將NO吸收到空穴后的系統,圖c)顯示了吸收的NO部分和最終產物之間的過渡狀態,圖d)最終產物。圖e)用于模擬摻雜的位置以藍色圓圈顯示。
圖2. 未摻雜石墨烯空穴的解離機制。棕色原子是C,藍色是N,紅色是O。圖a)是真空中NO的初始狀態。箭頭表示由于C
2V失真導致的較短距離。圖b)顯示了初始化學吸附狀態,圖c)顯示了解離的過渡狀態,圖d)為最終狀態。所有狀態均顯示平面圖和側面圖。所示系統的能量值與圖b)中所示的狀態有關。

圖3. 當NO部分進入空穴時,未摻雜體系的性質。圖a)中考慮了系統的凈自旋和絕對自旋以及能量(注意,凈自旋和絕對自旋在2.5Å以下均變為0),而圖b)包含了從C
2V到D
3H弛豫的原子對的鍵長和Mulliken鍵布居。
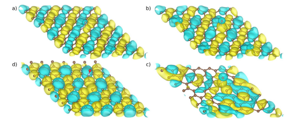
圖4. 當NO部分接近石墨烯空穴時,系統的HOMO軌道。在圖a)中,N在石墨烯片上方5Å處,在圖b)中,B在石墨烯上方2Å處,在圖c)中,N在石墨烯片上方2.25Å處,在圖d)中,N在石墨烯片上方4.5Å處。注意,與Clar的六重態規則相對應的環在圖d)中清晰可見,當NO部分進入空穴時,這些環消失并成為疊加態。使用了0.015 e
-/Å
3等值面切割。

圖5. 解離步驟的反應勢壘。未摻雜石墨烯的值由長虛線表示。對于摻雜系統(數字指示摻雜劑位置)值是彩色編碼的,藍色十字表示N-摻雜,紅色加號表示B-摻雜,綠色三角形表示帶電但未摻雜,黑色點劃線表示未摻雜。可以看出,B激活該步驟,而N使其失活,有時非常顯著。

圖6. 等值面(7 e
-/Å
3)根據幾種摻雜石墨烯的情況下NO離解過渡態的局部電荷著色。注意在某些情況下,位于部分NO周圍的等值面的紫色區域是正N(紅色密度)低于負O(藍色密度)的結果。
相關研究成果由英國薩里大學化學系R.A. Lawrence等人于2021年發表在Carbon Trends (https://doi.org/10.1016/j.cartre.2021.100111)上。原文:Reduction of NO on chemically doped, metal-free graphene。
轉自《石墨烯研究》公眾號