我們的工作旨在制造一種獨特的聚合物,用作導電和柔性芯片天線。它兼具是堅韌性,剛性,可拉伸性和良好的導電性等性能。制備的復合材料由兩種共聚物—聚二甲基硅氧烷(PDMS)和聚乙烯亞胺(PEI)—組成,與納米金屬(銅,銀)和石墨烯納米粒子組裝成基質。納米金屬填充層間空間,聚合物空隙增強交聯劑。石墨烯/金屬納米粒子有助于通過金屬鍵制備螯合物,將聚合物的電導率從1.87×10
-4提高到5.64×10
-6 σ Scm
-1。我們使用不同的光譜技術,如電化學阻抗(EIS),掃描電子顯微鏡(SEM),透射電子顯微鏡(TEM),紅外光譜(IR),紫外-可見光譜(UV)和粒徑分析儀,來分析制造的復合材料的電導率,自愈性能和表面形態。

圖1. 共聚物PDMS-石墨烯/NPs-PEI的制備途徑。

圖2. 用于共聚物合成的不同配制溶液的阻抗。

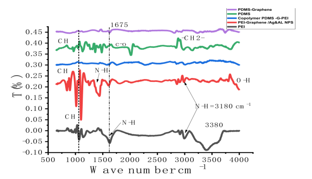
圖3. 紅外光譜表征。

圖4. 不同復合材料的拉曼分析。

圖5. 復合材料結構的UV圖譜。

圖6. a)PEI b)PDMS的SEM圖像。

圖7. a)石墨烯b)PDMS/石墨烯溶液的TEM圖像。

圖8. a)PEI-石墨烯b)PEI-石墨烯/NPs組裝的TEM圖像。

圖9. PDMS-石墨烯/NPS-PEI共聚復合材料的TEM圖像。
圖10. a)PDMS/石墨烯和b),PEI聚合物組裝納米顆粒和石墨烯的粒徑分析。

圖11. 共聚物的EDAX表征。
圖12. PEI-NPs的ICP分析。

圖13. 研究了獨立的PDMS及其共聚物PDMS-石墨烯-PEI自我修復過程前后的應力-應變關系。
圖14. PDMS基底的介電常數。
相關研究成果由魁北克大學工程學院Ameen Abdelrahman等人于2021年發表在JOSarXiv (http://arxiv.jos.ac.cn/arxiv/publish/doi/JOSarXiv.202107.0001)上。原文:Fabricated and characterize a conductive polymeric composite constituted from Nano Metals Graphene assembled in polymeric Matrix。
轉自《石墨烯研究》公眾號