采用超聲溶出、水熱還原、冷凍干燥等方法制備了三維氮摻雜石墨烯氣凝膠(3D N-GAs)。這些N-GAs具有高比表面積、高氮摻雜量和三維多孔網絡結構。首次利用該三維N-GA柔性電極開發了柔性電活性離子聚合物驅動器。所開發的柔性驅動器在6 h循環后表現出11.8 mm (3 V和0.1 Hz)的大的峰對峰值的位移和93.8%的空氣工作高耐久性。這些成功的演示說明了3D N-GA柔性驅動器在下一代柔性機器人設備中的廣泛潛力。

圖1. 氮摻雜石墨烯氣凝膠的合成路線

圖2. 氧化石墨烯及不同3D N-GA(x)的XRD圖譜
.png)
圖3. 3D N-GA(x)的XPS光譜
.png)
圖4. 3D N-GA(1) 的(a) C1s和(b)N1s XPS光譜;3D N-GA(2) 的(c) C1s和(d)N1s XPS光譜;3D N-GA(3) 的(e) C1s和(f)N1s XPS光譜;3D N-GA(4) 的(g) C1s和(h)N1s XPS光譜
.png)
圖5. (a)、(b) 3D N-GA(1)的SEM圖像; (c)、(d) 3D N-GA(2)的SEM圖像;(e)、(f) 3D N-GA(3)的SEM圖像;(g)、(h) 3D N-GA(4)的SEM圖像
.png)
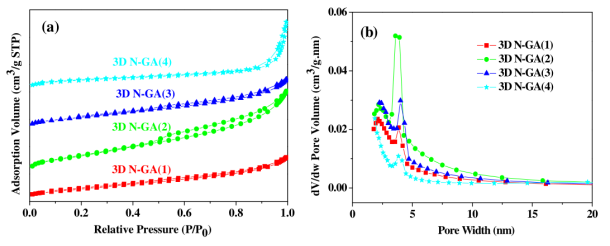
圖6. (a)三維N-GA的N
2吸附-解吸等溫線和(b)相應3D N-GA(x)的孔徑分布
.png)
圖7. 三維N-GA電極電活性離子聚合物驅動器原理圖及截面掃描電鏡圖
.png)
圖8. 不同3D N-GA(x)和3D GA驅動器在3v 、0.1 Hz下的電致位移曲線

圖9. 不同3D N-GA(3)驅動器在3v 、0.1 Hz下的電致位移曲線
.png)
圖10. 不同3D N-GA(3)驅動器在0.1 Hz不同輸入電壓(1-3 V)下的電致位移
.png)
圖11. 3D N-GA(3)驅動器在3V正弦波輸入電壓下不同頻率(0.1-1 Hz)時的電致位移
.png)
圖12. 3V正弦波輸入電壓下不同頻率(0.1-1 Hz)時3D N-GA(3)驅動器的激發應變
.png)
圖13. 3D N-GA(3)驅動器在2V和1Hz下的峰對峰值的位移耐久性結果(6h)
相關研究成果由南京航空航天大學材料科學與技術學院Kai Xiang課題組于2021年發表在J Mater Sci: Mater Electron(https://doi.org/10.1007/s10854-021-06643-6)上。原文:The highly stable air-working electro-active ionic polymer actuator based on nitrogen-doped graphene aerogel flexible electrode。
轉自《石墨烯雜志》公眾號