拓撲孤子是一類穩定的非線性激勵,常在不同的領域中出現,如在核力的Skyrme模型中。在這里,作者認為類似的激發在通過堆疊和扭曲兩層石墨烯獲得的非凡材料中起著重要作用。接近魔角觀察到的絕緣行為,將為摻雜的超導性提供路徑。在這里,作者提出了對這兩種觀察結果的統一描述。對稱性破壞凝聚態產生有序絕緣體,而凝聚態中的拓撲孤子——斯格明子——顯示為帶電荷的 2e 玻色子。通過計算,得到斯格明子的凝聚形成超導體的物理特性。作者展示了拓撲結構如何減輕庫侖排斥并提供以前未探索的超導途徑。該機制不僅闡明了為什么其他幾種莫爾材料沒有表現出超導性,而且還指出了預期具有強大超導性且未探索過的平臺。

Fig. 1 定義贗自旋。
Fig. 2. 隧道誘導的超交換。

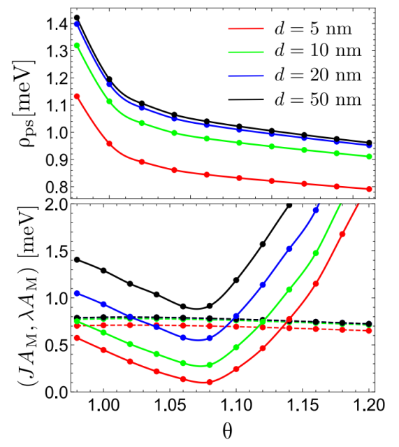
Fig. 3. 帶電激發的能量學。

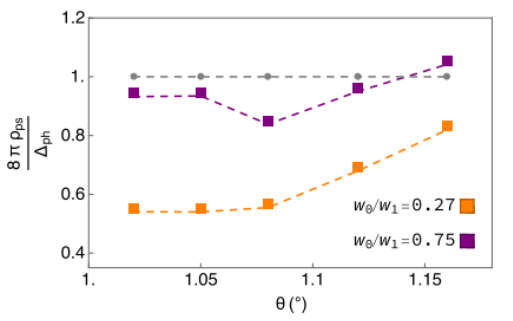
Fig. 4. Sigma 模型參數。

Fig. 5. 帶電拓撲紋理的配對。

Fig. 6. 摻雜 CP1 模型的大 N 相圖。

Fig. 7. MATBG 接近半填充v= 2。
相關研究成果于2021年由哈佛大學Ashvin Vishwanath課題組,發表在Science Advances(http://advances.sciencemag.org/content/7/19/eabf5299)上。原文:Charged skyrmions and topological origin of superconductivity in magic-angle graphene。
轉自《石墨烯雜志》公眾號