通過施加溫度梯度在導體中產生電壓是一種稱為Seebeck效應的基本現象。在從熱電發電機到溫度傳感的各種應用中,這種效應及其反作用得到了廣泛利用。最近,在普通金屬-超導體-普通金屬混合結構中,非局域Cooper對分離和彈性共隧的相互作用可能會產生熱電效應。本文報道了由兩個量子點連接到鋁超導體上的石墨烯基Cooper對,在分離器件中的非局域Seebeck效應,并對這一現象進行了理論描述。觀察到的非局部Seebeck效應為產生糾纏電子提供了有效的工具。

Fig. 1 設備的彩色SEM圖像。

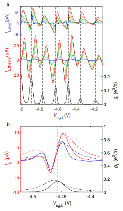
Fig. 2 對熱電流的局部和非局部貢獻。
Fig. 3 左右點中非局部熱電流的相互作用。
Fig. 4 熱電流的驅動依賴性。
相關研究成果于2021年由芬蘭埃斯波的阿爾托大學P. J. Hakonen課題組,發表在Nature Communications(
https://doi.org/10.1038/s41467-020-20476-7)上。原文:Thermoelectric current in a graphene Cooper pair splitter。
轉自《石墨烯雜志》公眾號