由于高表面積、豐富的官能團和良好的生物相容性,氧化石墨烯(GO)在葡萄糖檢測中受到了廣泛的關注。GO的缺陷和官能團有利于葡萄糖氧化酶(GOD)的固定化,但犧牲了電子傳遞能力以實現高度靈敏的檢測。為了獲得高GOD負載和對生物傳感器的高靈敏度檢測,我們首先通過將GO和邊緣功能化石墨烯(FG)層組合到玻璃碳電極上來設計和制造石墨烯薄片電極。與文獻報道的其他基于石墨烯的生物傳感器相比,石墨烯薄片電極具有更快的電子傳輸速率,更高的GOD負載3.80×10
-9 mol·cm
-2和更高的檢測靈敏度46.71 μA·mM
-1·cm
-2。如此高的性能主要歸因于GO豐富的官能團、FG的高電導率以及石墨烯薄片電極中各組分之間的強相互作用。憑借其高酶負載和高度靈敏的檢測,石墨烯薄片電極具有巨大的潛力,可廣泛用作醫學診斷領域中的高性能生物傳感器。
Figure 1. 石墨烯薄片電極(GCE-RFG-RGO-GOD-CS)的制備示意圖

Figure 2. 裸露的GCE和石墨烯薄片電極的EIS奈奎斯特圖。

Figure 3. 石墨烯薄片電極的(a)CV曲線和(b)峰值電流。

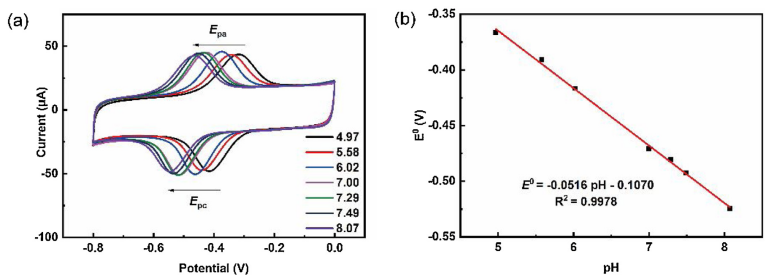
Figure 4. 在具有不同pH值的PBS溶液中,石墨烯薄片電極的(a)CV曲線,以及(b)E
?對pH值的依賴性。
相關研究成果于2021年由中國科學院Hui-Ming Cheng和You Zeng課題組,發表在Journal of Materials Science & Technology(https://doi.org/10.1016/j.jmst.2020.04.070)上。原文:A graphene-laminated electrode with high glucose oxidase loading for highly-sensitive glucose detection。
轉自《石墨烯雜志》公眾號