在石墨的兩種穩定形式(六角形和菱面體)中,前者更為常見,并且已經進行了廣泛的研究。后者的穩定性較差,盡管有許多關于外來相互作用引起的物理學理論預測,但迄今為止,關于它詳細的研究還未進行。現在,范德華異質結構技術的進步使我們能夠制造厚達50個石墨烯層的高質量菱形面石墨膜,并研究其傳輸性能。在這里,我們證明了這種菱面體石墨中的體電子態是有間隙的,并且在低溫下,電子傳輸受表面態支配。由于其拓撲性質,表面態具有足夠高的質量以觀察量子霍爾效應,由此,菱面體石墨在無間隙半金屬相和具有巨大貝里曲率的帶隙量子自旋霍爾相之間表現出相變。我們發現,通過施加垂直電場打破表面態的反對稱性,也可以在表面態中打開能隙。此外,在厚度小于4納米的菱形石墨中,即使沒有外部電場,也會存在間隙。這種自發的間隙開口顯示出明顯的磁滯現象和電子相分離的其他特征,我們將其歸因于強相關的電子表面態的出現。

Fig. 1 RG薄膜的|輸運特性。

Fig. 2 厚度與多層RG傳輸特性的相關性。

Fig. 3 RG中的量子霍爾效應。

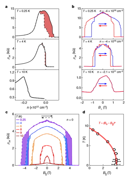
Fig. 4 多層RG中絕緣狀態的遲滯行為。
相關研究成果于2020年由曼徹斯特大學Artem Mishchenko課題組,發表在Nature (https://doi.org/10.1038/s41586-020-2568-2)上。原文:Electronic phase separation in multilayer rhombohedral graphite。
摘自《石墨烯雜志》公眾號: