在本文中,我們設計了一種單步晶格限制的鈣鈦礦納米粒子刻蝕和自犧牲氧化石墨烯(GO)誘導的自組裝策略,以合成新型3D巢狀LaCO
3OH和花狀Ni(OH)
2@graphene(RGO)多層復合材料,作為高性能的光催化劑和電極材料。晶格限制效應調節了從鈣鈦礦遷移到GO的鎳離子的濃度和分布,從而構建了均勻的Ni(OH)
2@RGO納米結構。通過殘余的晶格框架與CO
32-反應形成La(OH)
3,從自我犧牲GO自組裝到形成巢狀LaCO
3OH,并將其嵌入Ni(OH)
2@RGO納米片中。GO既用作形態控制試劑,又用作自犧牲碳源。得益于均勻的Ni(OH)
2@RGO納米片上電子的快速轉移以及LaCO
3OH-Ni(OH)
2@RGO的3D巢狀和花狀復合材料的高集光能力,光催化和超級電容器的特性大大增強。H
2的生產速率為1.3807 mmol h
-1 g
-1,是純LaCO
3OH的13倍。電化學研究表明,即使在20,000次循環后,以10 mV/s的掃描速率獲得的比電容為572.47 F/g,并且電容保留率為80%。這種由GO介導的固相鈣鈦礦表面離子遷移在晶格約束作用下合成的復合材料為固體納米顆粒和GO的直接自組裝合成新的功能材料提供了一條新的技術路線。

Figure 1. LaCO
3OH-Ni(OH)
2@RGO分層復合材料的制備路線和生長過程示意圖。

Figure 2. (a)XRD圖;(b)LNO-GO-230、(c)巢狀LaCO
3OH顆粒和(d)花狀Ni(OH)
2@RGO納米片在LNO-GO-230樣品中的SEM圖像。

Figure 3. LNO-230(a-c)和LNO-GO-230(d-f)的TEM和HRTEM圖像以及相應的SAED模式(請參見插圖)

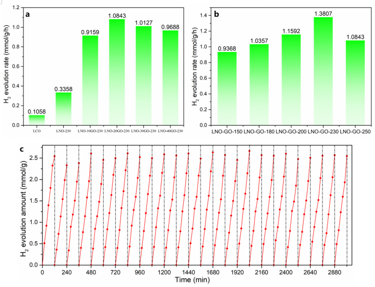
Figure 4. (a)具有不同GO含量和(b)不同反應溫度催化劑的光催化H
2析出比較。(c)LNO-GO-230復合材料50小時的長期穩定性測試。

Figure 5. 三電極系統的電化學性能:(a)CV曲線。(b)不同掃描速率下,LNO-GO-230電極的CV曲線。(c)GCD曲線。(d)根據CV曲線在不同掃描速率下計算的比電容。
相關研究成果于2020年由廈門大學Lishan Jia課題組,發表在Chemical Engineering Journal(2020, 382, 123021)上。原文:Graphene oxide mediated self-sacrificial synthesis of LaCO
3OH-Ni(OH)
2@graphene hierarchical composite for photocatalytic H
2 evolution and supercapacitor。
摘自《石墨烯雜志》公眾號: