通過調節兩個相鄰神經元之間的連接,具有逐步傳導調制的憶阻器,可以同時存儲和處理類似于生物學突觸的信息。然而,開發高穩定性、高均勻性、低功耗的憶阻器件是神經形態計算領域的一大挑戰。本文以多層石墨烯薄膜為底部電極,制備了具有Ta/Ta
2O
5/AlN/石墨烯結構的雙端憶阻器。該器件在直流掃描電壓下具有穩定的電氣特性。更重要的是,該憶阻器可以完全模擬生物突觸的功能和可塑性,包括與時間相關的可塑性,以及興奮性突觸后電流等。通過具有0.8 V振幅和50 ns寬度的脈沖,器件在寫入事件時能量值可以低至37飛焦耳,這進一步證明了器件消耗功率低。根據電流-電壓曲線的擬合結果,該傳導機理主要是由于陷阱輔助隧穿導致。Ta/Ta
2O
5/AlN/石墨烯憶阻器為實現穩定、低功耗的人工突觸神經形態計算提供了極好的材料。
Fig. 1 (a) Ta/Ta
2O
5/AlN/石墨烯器件結構示意圖。(b) Ta/Ta
2O
5/AlN/石墨烯在掃描100次時的I-V曲線。

Fig. 2 (a-b)在直流模式下,0-3V-0正電壓連續掃描5次,0-4V-0負電壓連續掃描5次。(c)提取(a-b)中的電流和電壓數據,繪制與時間的關系。(d)抗性的統計分布。(e) 5×10
4個脈沖周期的耐久性能。

Fig. 3 調整不同參數的正/負雙向脈沖序列對憶阻器電導的影響。(a-b)不同電壓幅值對電導調制的影響。(c-d)不同脈沖間隔對電導調制的影響。(e-f)不同脈沖寬度對電導調制的影響。

Fig. 4 (a)突觸前脈沖刺激產生的EPSC特性。(b)不同脈沖持續時間的突觸前脈沖觸發EPSC,脈沖幅度為2V。(c)不同電壓下程序設計脈沖產生的EPSC。(d)在同一脈沖下分別施加5、15、50個脈沖下,獲得的EPSC衰減。

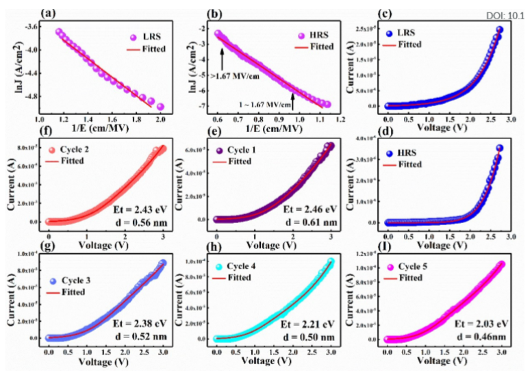
Fig. 5 機理解釋。(a-b) TAT機制。(c-d)對I-V曲線的LRS和HRS進行擬合。(e-I)對于五個連續正電壓掃描周期的I-V曲線,進行周期1到周期5的擬合曲線。
相關研究成果于2020年由新加坡國立大學Jingsheng Chen課題組,發表在Journal of Materials Chemistry C (DOI: 10.1039/D0TC00316F)上。原文:Memristors Based on Multilayer Graphene Electrodes for Implementing a Lowpower Neuromorphic Electronic Synapse