石墨烯已被用作過氧單硫酸鹽(PMS)活化的催化劑,用于去除水中的藥物。首先,進行了PMS的動力學吸附研究,使結果符合Elovich方程。此外,評估了吸附過程中的主要變量(例如pH、初始PMS濃度和石墨烯劑量)的影響。其次,比較了PMS催化和吸附過程,研究了雙氯芬酸作為目標化合物的降解。與使用低劑量石墨烯(小于50 mg/L)或表面飽和后的吸附相比,PMS催化工藝可增強微量污染物的去除。使用自由基清除劑的研究表明該過程中自由基的缺乏,表明PMS的非自由基活化。第三,還比較了三種化學結構不同的三種抗生素(諾氟沙星、四環素和磺胺甲惡唑)混合物的氧化吸附與PMS催化過程。PMS催化活化對于去除吸附在石墨烯表面的親和力較小的化合物更為有效。最后,對新鮮和經PMS處理的材料進行了表征。石墨烯在PMS活化中用作催化劑后證明是穩定的,僅遭受表面氧化基團的輕微轉化。

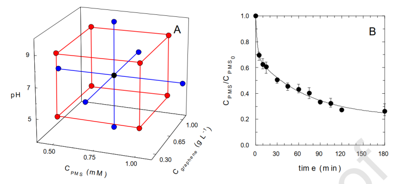
Figure 1. (A)所選中心復合設計的實驗條件。(B)水性PMS濃度隨時間變化的中心點。
Figure 2. 在三個不同pH值下,3D表面預測的k值。

Figure 3. (A)石墨烯劑量的影響。(B)pH的影響。(C)初始PMS濃度的影響。(D)初始DCF濃度的影響。

Figure 4. 在使用石墨烯的PMS催化過程中,清除劑對DCF去除的影響。

Figure 5. 在石墨烯催化下,PMS與其他氧化劑相比。

Figure 6. 新鮮的商用石墨烯納米片的SEM(上)和TEM圖像(下)。
相關研究成果于2019年由辛辛那提大學Rafael R. Solís課題組,發表在Journal of Hazardous Materials(https://doi.org/10.1016/j.jhazmat.2019.121340)上。原文:Adsorptive interaction of peroxymonosulfate with graphene and catalytic assessment via non-radical pathway for the removal of aqueous pharmaceuticals。