二維過渡金屬碳化物和氮化物(稱為MXenes)是有前途的儲能材料。盡管已在超級電容器中使用MXene電極證明了優異的電容性能,但相對較高的電阻和低效的分離工藝限制了材料的應用。這項工作報告了一種創新的簡便方法,結合等離子剝落技術來制造石墨烯包裹的MXene。該方法包括兩個關鍵方面:1)將氧化石墨(GO)摻入MXene中;以及2)GO改性MXene的等離子去角質。所得材料表示為MXene@rGO,MXene表面具有層狀結構的還原氧化石墨烯。使用MXene@rGO材料制造全固態柔性超級電容器。與常規MXene相比,MXene@rGO超級電容器的比電容高出兩倍,并且具有出色的充電/放電和機械穩定性。這項研究有可能導致開發新的電極材料,從而大大提高儲能能力。

Figure 1. 帶有結構演化的MXene@rGO的合成示意圖

Figure 2. (a)MAX,(b)MXene,(c,d)MXene@GO和(e,f)MXene@rGO的SEM圖像

Figure 3. (a)MAX,(b)MXene和(c,d)MXene@rGO的TEM圖像

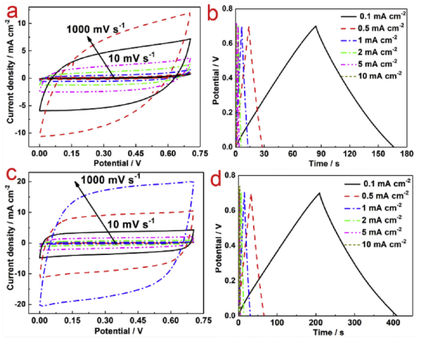
Figure 4. (a,b)MXene和(c,d)MXene@rGO的CV和恒電流充放電曲線。

Figure 5. MXene和MXene@rGO(a)的奈奎斯特圖和(b)充電/放電周期。
Figure 6. (a)由三個串聯的設備供電的紅色LED;(b)不同變形和數碼攝影下設備的CV曲線
相關研究成果于2019年由密西根州立大學Keliang Wang課題組,發表在Energy Storage Materials(https://doi.org/10.1016/j.ensm.2019.04.029)上。原文:Graphene wrapped MXene via plasma exfoliation for all-solid-state flexible supercapacitors。