為了降低鎂陽極腐蝕速率,提高鎂空氣電池的放電性能,成功制備了水溶性石墨烯poly(4-苯乙烯磺酸鈉)/還原石墨烯和還原石墨烯/Mn
3O
4納米復合材料。poly(4-苯乙烯磺酸鈉)/還原氧化石墨烯負極、NaCl電解質和還原氧化石墨烯/Mn
3O
4納米復合材料為正極催化劑組織了鎂-空氣電池。通過X射線衍射、掃描電鏡和傅里葉變換紅外分光光度計對poly(4-苯乙烯磺酸鈉)/還原氧化石墨烯和還原氧化石墨烯/Mn
3O
4納米復合材料的結構和形貌進行了測試。已發現由poly(4-苯乙烯磺酸鈉)/還原氧化石墨烯和還原氧化石墨烯/Mn
3O
4納米復合材料制成的鎂-空氣電池組的能量密度為1620 Wh/kg,陽極利用率為82%,遠高于用NaCl溶液和商用空氣正極獲得的結果(1115 Wh/kg和52%)。

Figure 1. 基于RGO/Mn
3O
4納米復合材料作為空氣電極催化劑,在3.5%NaCl+PSS/RGO溶液中鎂空氣電池的結構。

Figure 2. GO(a),RGO(b)和PSS/RGO(c)和RGO/Mn3O4納米復合材料(d)的SEM
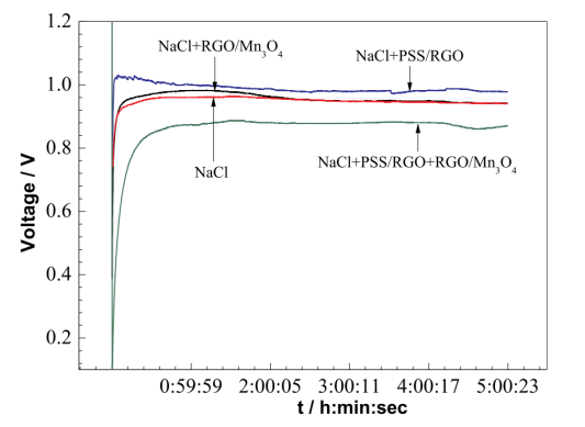
Figure 3. 鎂空氣電池(10 mA/cm
2)在NaCl、NaCl+RGO/Mn
3O
4、NaCl+PSS/RGO和NaCl+RGO/Mn
3O
4+PSS/RGO中的放電曲線。

Figure 4. Mg-6wt%Al-1wt%In在3.5%NaCl和3.5%NaCl+1%PSS/RGO溶液中的極化曲線。

Figure 5. Mg-6wt%Al-1wt%In合金在不同溶液中放電后的SEM:在清洗腐蝕產物中的3.5%NaCl(a)和3.5%NaCl+1%PSS/RGO(b)中以及清洗腐蝕產物3.5%NaCl(c)和3.5%NaCl+1%PSS/RGO(d)

Figure 6. Mg-6wt%Al-1wt%In在3.5%NaCl溶液(a),3.5%NaCl+1%PSS/RGO溶液(b)中的EIS光譜和EIS的等效電路(c)。
EIS spectrums of the Mg-6 wt %Al-1 wt % In in 3.5% NaCl solution (a), 3.5% NaCl þ 1% PSS/RGO solution (b), and equivalent circuit of EIS (c).
相關研究成果于2019年由河南科技大學Guangxin Wang課題組,發表在Journal of Power Sources(https://doi.org/10.1016/j.jpowsour.2019.05.034)上。原文:Properties of reduced graphene oxide for Mg-air battery