本文通過使用無偏大規模量子蒙特卡洛模擬,研究了在蜂窩中性位點上具有擴展中性的Hubbard模型,每個點在電荷中性下具有兩個軌道。隨著團簇電荷相互作用的增加,狄拉克費米子的費米速度重新歸一化,直到出現質量項并建立了從狄拉克半金屬到價鍵固體(VBS)絕緣子的量子相變。發現量子臨界點屬于3D N=4 Gross-Neveu手性XY通用性,并且以高精度獲得了臨界指數。交互作用的進一步增強將系統驅動到兩個不同的VBS階段,還揭示了它們之間的特性和過渡。由于該模型與魔角扭曲的雙層石墨烯有關,因此我們的結果可能與材料的電荷中性點處的對稱破壞順序有關,并將周圍大范圍內奇怪的金屬行為與量子臨界漲落相關聯。

Figure 1. 轉角石墨烯有效格點模型在電中性點隨著團簇電荷相互作用U/t的相圖。。

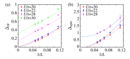
Figure 2. (a) DSM-pVBS相變的鍵強關聯比值之間的cross data,由此可以確定相變點在U/t=25.1(2)。(b) VBS態結構序參量的data collapse,由此可以定出來臨界指數η=0.80(2),ν=1.01(3),符合三維N=4Gross-Neveu手性XY普適類,具有涌現連續對稱性。

Figure 3. DSM-pVBS相變是金屬到絕緣體相變。

Figure 4. (a)對于U,系統每個站點的動能值很大,急劇的跳躍表示一階躍遷;(b)對于相同的過程C
B(K),也觀察到VBS順序的跳躍,表明這是不同VBS階段之間的過渡;(c)復數階參數DK的角度依賴性;(d–f)在不同的相互作用強度U <UVBS,U≈UVBS和U> UVBS時DK的直方圖。

Figure 5. (a)pVBS和cVBS鋸齒形疇壁的光譜;(b)pVBS和cVBS的鋸齒形疇壁,底部為pVBS相,頂部為cVBS相。
相關研究成果于2019年由香港科技大學Xiao Yan Xu課題組,發表在PHYSICAL REVIEW LETTERS(2019, 123, 157601)上。原文:Valence Bond Orders at Charge Neutrality in a Possible Two-Orbital Extended Hubbard Model for Twisted Bilayer Graphene。